• pISSN 2305-7068
  • eISSN 2097-7476
  • Indexed by ESCI CABI CAS
  • DOAJ EBSCO ProQuest Scopus GeoRef AJ CNKI
Advanced Search

Current Issue

2025 Vol. 13, No. 4

Display Method:
Research Article
Removal of 1,2,3-Trichloropropane from groundwater using Graphene Oxide-Modified Nano Zero-Valent Iron Activated Persulfate
Hui Li, Lu Liu, Jia-hui Li, Bai-zhong Yan, Xiang-ke Kong, Wei Zhang
2025, 13(4): 341-351. doi: 10.26599/JGSE.2025.9280058
Abstract(542) FullText HTML (251) PDF(86)
Abstract:
Graphene Oxide (GO), nanoscale Zero-Valent Iron (nZVI) and GO-modified nZVI (GO-nZVI) composite materials were prepared by the Hummer and polyphenol reduction method, respectively, and Scanning Electron Microscope (SEM) and X-ray Diffraction (XRD) were used to characterize the morphology and phase composition of these materials. A series of batch experiments were then conducted to investigate the performance and influencing factors of GO-nZVI activating peroxydisulfate (SPS) for the degradation of 1,2,3-trichloropropane (TCP). Finally, an in-situ oxidation reaction zone was created by GO-nZVI-activated SPS in a one-dimensional simulated system to study the remediation of TCP contamination under different aquifer conditions. The results showed that the GO-nZVI composite exhibited a porous, fluffy structure, with spherical nZVI particles loaded onto the surface and folds of the GO sheets. Compared with unmodified nZVI particles, the GO-nZVI composite significantly enhanced the removal efficiency of TCP by activated SPS, achieving a removal rate of 67.2% within an hour - 78.2% higher than that of the unmodified system. The SPS dosage and the C/Fe ratio in GO-nZVI were found to significantly affect the degradation efficiency of TCP. The removal rate of TCP increased with higher SPS concentration, and a 10% carbon addition, yielded the best activation effect. The one-dimensional simulation results indicated that the removal rate of TCP ranged from 30.1% to 73.3% under different conditions. A larger medium particle size and higher concentrations of reactants (SPS and GO-nZVI) improved pollutant degradation efficiency, increasing TCP removal by 62.1%, 23.8%, and 3.7%, respectively. In contrast, a higher groundwater flow velocity was not conducive to the removal of pollutants, with the TCP removal rate decreasing by approximately 41.9%.
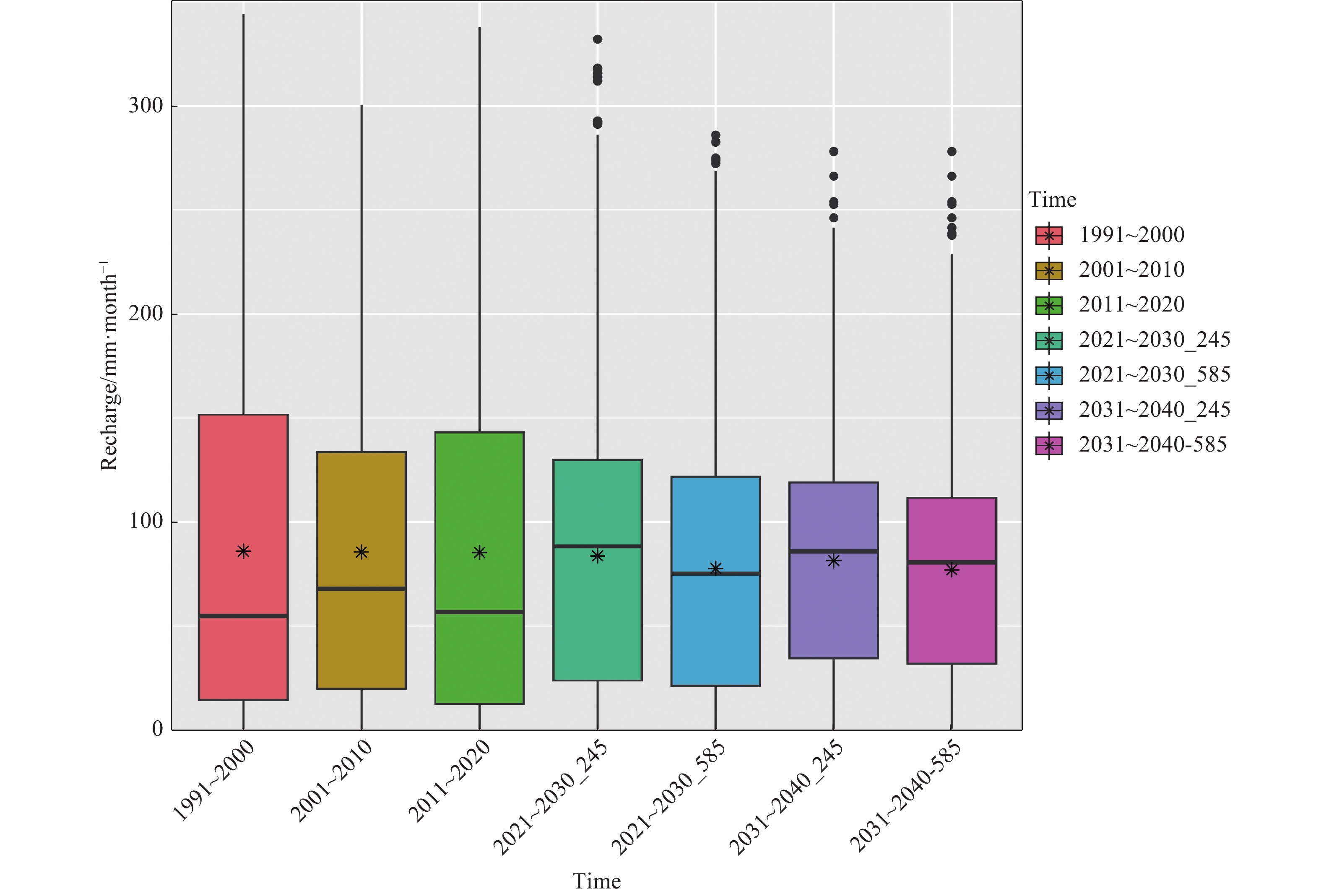
Groundwater recharge modeling with integration of land use/land cover and climate change projections in Surakarta City, Indonesia
Sulistiani, Rachmat Fajar Lubis, I Putu Santikayasa, Muh. Taufik, Gumilar Utamas Nugraha
2025, 13(4): 352-370. doi: 10.26599/JGSE.2025.9280059
Abstract(825) FullText HTML (386) PDF(144)
Abstract:
Increased population mobility in urban areas drives higher water demand and significant changes in Land Use and Land Cover (LULC), which directly impact groundwater recharge capacity. This study aims to predict LULC changes in 2030 and 2040, analyse groundwater recharge quantities for historical, current, and projected conditions, and evaluate the combined impacts of LULC and climate change. The Cellular Automata-Artificial Neural Network (CA-ANN) method was employed to predict LULC changes, using classified and interpreted land use data from Landsat 7 ETM+ (2000 and 2010) and Landsat 8 OLI (2020) imagery. The Soil and Water Assessment Tool (SWAT) model was used to simulate groundwater recharge. Input data for the SWAT model included Digital Elevation Model (DEM), soil type, LULC, slope, and climate data. Climate projections were based on five Regional Climate Models (RCMs) for two time periods, 2021–2030 and 2031–2040, under Shared Socioeconomic Pathways (SSP) scenarios 2–45 and 5–85. The results indicate a significant increase in built-up areas, accounting for 71.08% in 2030 and 71.83% in 2040. Groundwater recharge projections show a decline, with average monthly recharge decreasing from 83.85 mm/month under SSP2-45 to 78.25 mm/month under SSP5-85 in 2030, and further declining to 82.10 mm/month (SSP2-45) and 77.44 mm/month (SSP5-85) in 2040. The expansion of impervious surfaces due to urbanization is the primary factor driving this decline. This study highlights the innovative integration of CA-ANN-based LULC predictions with climate projections from RCMs, offering a robust framework for analysing urban groundwater dynamics. The findings underscore the need for sustainable urban planning and water resource management to mitigate the adverse effects of urbanization and climate change. Additionally, the methodological framework and insights gained from this research can be applied to other urban areas facing similar challenges, thus contributing to broader efforts in groundwater conservation.
Natural brown coal as an adsorbent for manganese removal from groundwater: A mechanistic and operational evaluation
Obiri-Nyarko F, Darko DA, Quansah JO, Asare SV, Karikari AY
2025, 13(4): 371-385. doi: 10.26599/JGSE.2025.9280060
Abstract(472) FullText HTML (188) PDF(31)
Abstract:
This study investigates the potential of natural Brown Coal (BC) as a sustainable, cost-effective adsorbent for the removal of manganese (Mn2+) from contaminated groundwater. A series of batch adsorption experiments was conducted to assess the influence of key operational parameters—such as solution pH, initial Mn2+ concentration, BC dosage, temperature, and the presence of competing ions—on Mn2+ removal efficiency. The environmental compatibility and regeneration potential of BC were also evaluated to determine its practical viability for repeated use. To better understand the adsorption behaviour, equilibrium and kinetic data were analysed using established isotherm and kinetic models, while thermodynamic parameters were computed to assess the spontaneity and thermal characteristics of the adsorption process. Furthermore, geochemical modelling and comprehensive BC characterization—including surface morphology, mineralogical and elemental composition, and functional group analysis—were performed to elucidate Mn2+ speciation under varying environmental conditions and to uncover the underlying adsorption mechanisms. Results showed that Mn2+ removal efficiency increased with higher pH, temperature, and BC dosage, but declined at elevated initial Mn2+ concentrations due to active site saturation. The process was spontaneous and endothermic, with the Langmuir isotherm model (R2 = 0.994) and pseudo-second-order kinetic model (R2 = 0.996) providing the best fit to experimental data. Mechanistic analysis indicated that chemisorption, primarily through ion exchange and inner-sphere complexation, was the dominant mode of Mn2+ uptake. The presence of competing cations, especially Fe3+ and Cu2+, significantly hindered Mn2+ removal due to preferential binding. Importantly, BC exhibited strong reusability, maintaining over 80% removal efficiency across four adsorption–desorption cycles without evidence of secondary pollutants. These findings demonstrate the potential of natural BC as an efficient, reusable, and environmentally benign material for treating manganese-contaminated groundwater.
Evaluation of water quality and water resources carrying capacity using a varying fuzzy pattern recognition model: A case study of small watersheds in Hilly Region
Su-duan Hu, Wen-da Liu, Jun-jian Liu, Jiang-Yulong Wang, Jun-jie Yang, Zhao-yi Li, Zhi-yang Tang, Guo-qiang Wang, Tian-cun Yu
2025, 13(4): 386-405. doi: 10.26599/JGSE.2025.9280061
Abstract(802) FullText HTML (205) PDF(39)
Abstract:
Water scarcity and environment deterioration have become main constraints to sustainable economic and social development. Scientifically assessing Water Resources Carrying Capacity (WRCC) is essential for the optimal allocation of regional water resources. The hilly area at the northern foot of Yanshan Mountains is a key water conservation zone and an important water source for Beijing, Tianjin and Hebei. Grasping the current status and temporal trends of water quality and WRCC in representative small watersheds within this region is crucial for supporting rational water resources allocation and environment protection efforts. This study focuses on Pingquan City, a typical watershed in northern Hebei Province. Firstly, evaluation index systems for surface water quality, groundwater quality and WRCC were established based on the Pressure-State-Response (PSR) framework. Then, comprehensive evaluations of water quality and WRCC at the sub-watershed scale were conducted using the Varying Fuzzy Pattern Recognition (VFPR) model. Finally, the rationality of the evaluation results was verified, and future scenarios were projected. Results showed that: (1) The average comprehensive evaluation scores for surface water and groundwater quality in the sub-watersheds were 1.44 and 1.46, respectively, indicating that both met the national Class II water quality standard and reflected a high-quality water environment. (2) From 2010 to 2020, the region's WRCC steadily improved, with scores rising from 2.99 to 2.83 and an average of 2.90, suggesting effective water resources management in Pingquan City. (3) According to scenario-based prediction, WRCC may slightly decline between 2025 and 2030, reaching 2.92 and 2.94, respectively, relative to 2020 levels. Therefore, future efforts should focus on strengthening scientific management and promoting the efficient use of water resources. Proactive measures are necessary to mitigate emerging contradiction and ensure the long-term stability and sustainability of the water resources system in the region. The evaluation system and spatiotemporal evolution patterns proposed in this study can provide a scientific basis for refined water resource management and ecological conservation in similar hilly areas.
Development of a model to estimate groundwater recharge
Md. Hossain Ali
2025, 13(4): 406-422. doi: 10.26599/JGSE.2025.9280062
Abstract(404) FullText HTML (157) PDF(38)
Abstract:
Quantifying the spatial and temporal distribution of natural groundwater recharge is essential for effective groundwater modeling and sustainable resource management. This paper presents M-RechargeCal, a user-friendly software tool developed to estimate natural groundwater recharge using two widely adopted approaches: the Water Balance (WB) method and Water Table Fluctuation (WTF) method. In the WB approach, the catchment area is divided into seven land-use categories, each representing distinct recharge characteristics. The tool includes eighteen different reference Evapotranspiration (ET0) estimation methods, accommodating varying levels of climatic input data availability. Additional required inputs include crop coefficients for major crops and Curve Numbers (CN) for specific land-use types. The WTF approach considers up to three aquifer layers with different specific yields (for unconfined aquifer) or storage coefficient (for confined aquifer). It also takes into account groundwater withdrawal (draft) and lateral water movement within or outside the aquifer system. M-RechargeCal is process-based and does not require calibration. Its performance was evaluated using six datasets from humid-subtropical environments, demonstrating reliable results (R2 = 0.867, r = 0.93, RE= 10.6%, PMARE= 9.8, ENS = 0.93). The model can be applied to defined hydrological or hydrogeological units such as watersheds, aquifers, or catchments, and can be used to assess the impacts of land-use/land-cover changes on hydrological components. However, it has not yet been tested in arid regions. M-RechargeCal provides modelers and planners with a practical, accessible tool for recharge estimation to support groundwater modeling and water resource planning. The software is available free of charge and can be downloaded from the author's institutional website or obtained by contacting the author via email.
Introducing a new geostatistical approach to classify groundwater samples based on Stiff diagram: Case study of Chahardoly aquifer, west of Iran
Sajjad Moradi Nazarpoor, Mohsen Rezaei, Hadi Jafari, Yazdan Mohebi, Reza Mirbageri
2025, 13(4): 423-433. doi: 10.26599/JGSE.2025.9280063
Abstract(519) FullText HTML (154) PDF(28)
Abstract:
Groundwater quality is pivotal for sustainable resource management, necessitating comprehensive investigation to safeguard this critical resource. This study introduces a novel methodology that integrates stiff diagrams, geostatistical analysis, and geometric computation to delineate the extent of a confined aquifer within the Chahrdoly aquifer, located west of Hamadan, Iran. For the first time, this approach combines these tools to map the boundaries of a confined aquifer based on hydrochemical characteristics. Stiff diagrams were used to calculate geometric parameters from groundwater chemistry data, followed by simulation using a linear model incorporating the semivariogram parameter γ(h). The Root Mean Square Error (RMSE) of the linear model was used to differentiate confined from unconfined aquifers based on hydrochemical signatures. Validation was conducted by generating a cross-sectional hydrogeological layer from well logs, confirming the presence of aquitard layers. The results successufully delineated the confined aquifer's extent, showing strong agreement with hydrogeological log data. By integrating stiff diagrams with semivariogram analysis, this study enhances the understanding of hydrochemical processes, offering a robust framework for groundwater resource identification and management.
ANN-based prediction model for single-hole water inflow from piedmont to inland plain areas of Hebei Province, North China Plain
Hong-wei Song, Fan Xia, Wei-qiang Wang, Ming-sen Shang, Jian-ye Gui
2025, 13(4): 434-448. doi: 10.26599/JGSE.2025.9280064
Abstract(240) FullText HTML (113) PDF(19)
Abstract:
This study, based on Artificial Neural Network (ANN) technology, develops a quantitative prediction model for the unit water flow rate of the Quaternary strata in the Shijiazhuang-Hebei Plain area. The study area extends from the piedmont region of Shijiazhuang, at the eastern foothills of the Taihang Mountains, to the hinterland area of Hengshui within the plain in Hebei Province section of the North China Plain. The hydrological and exploration boreholes selected for modeling are primarily located in the southeastern part of Shijiazhuang urban area — the southern region of Xinji County — north of Hengshui City near the Shenzhou County area. By employing the Induced Polarization method (IP) and Vertical Electrical Sounding (VES), apparent resistivity (ρS), apparent polarization rate (ηS), half-decay time (Th), and decay degree (D) were obtained as initial input parameters. These were combined with the measured water flow rates from borehole pumping tests to build the training sample set. To address the prevalent issue of high-salinity interference in the study area, multiple regression analysis revealed that when the inverted resistivity (ρ) is less than 5 Ω·m and the inverted polarization rate (η) is greater than 8%, the contribution of groundwater salinity to the resistivity parameter reaches 42%±6%. Based on this, a comprehensive parameter T"=ρ*H/ρ' was established, where ρ is the aquifer resistivity, ρ' is the aquitard resistivity, and H is the aquifer thickness. The resistivity ratio effectively eliminates the coupling effect between electrical parameters and salinity. The input neurons of the improved model were adjusted to a four-parameter system consisting of decay time (Th), decay degree (D), deviation degree (σ), and the comprehensive parameter (T"). Experiments showed that the prediction error of the model on the validation set was reduced from the original model's 5%-10% to 0.9%-5%. The introduction of the T" parameter reduced the prediction error in high salinity areas (Cl->500 mg/L) to within 7%. The study confirms that the composite parameter T" based on geophysical inversion parameters can effectively characterize the coupling features of aquifer thickness and water quality. Even with a small sample size, through algorithm optimization, data augmentation, and model structural improvements, it is entirely possible to effectively enhance prediction accuracy and generalization ability, providing a new parameterization method for the quantitative evaluation of Quaternary pore water in plain areas.
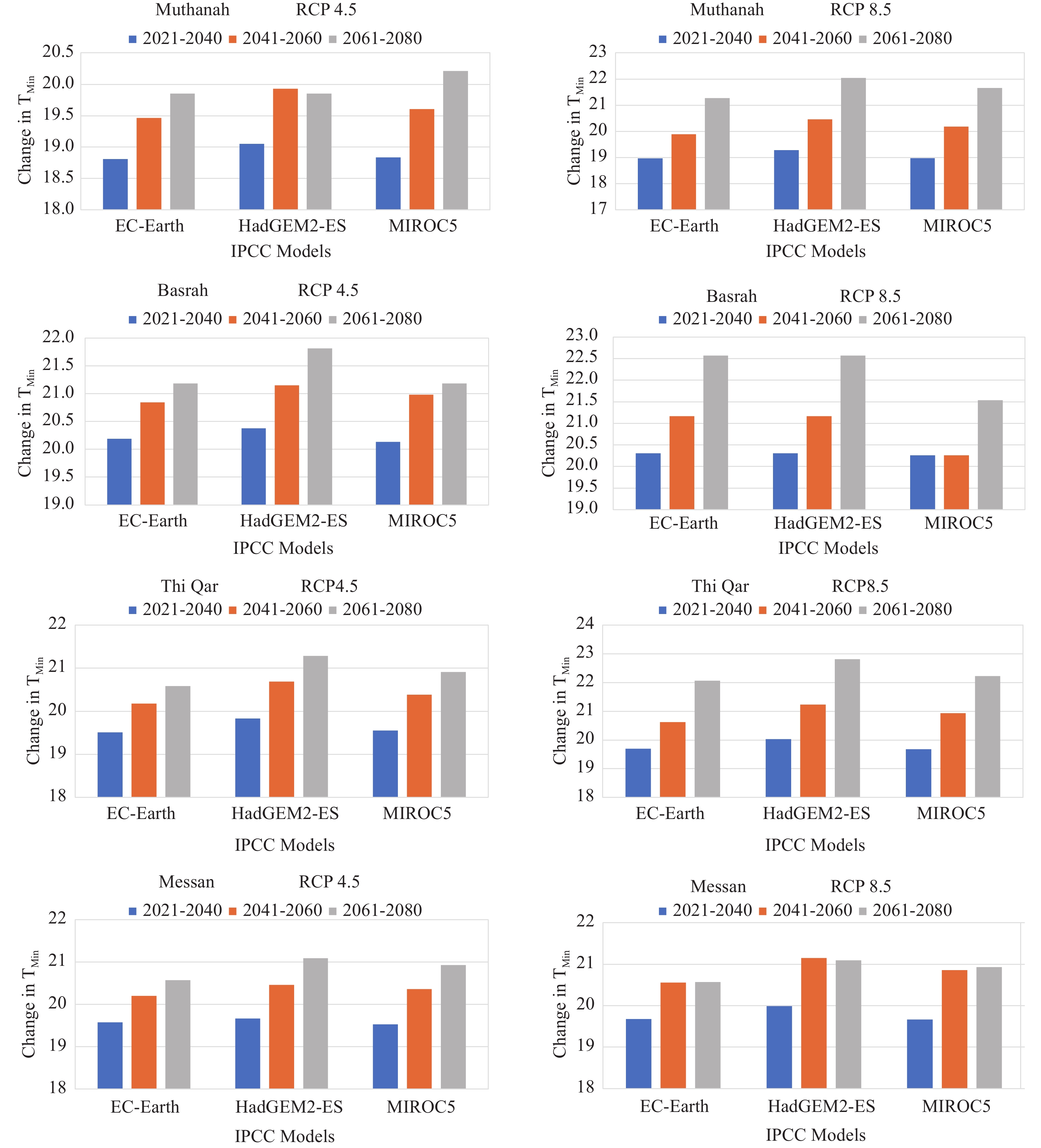
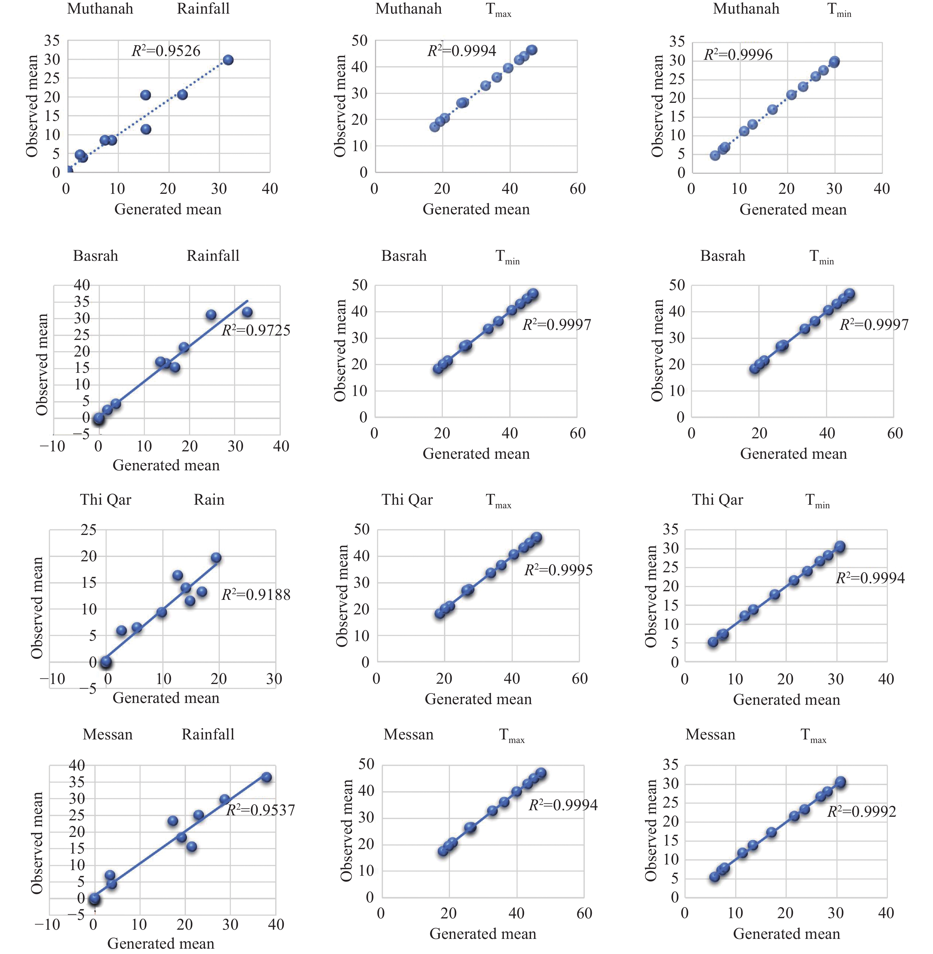
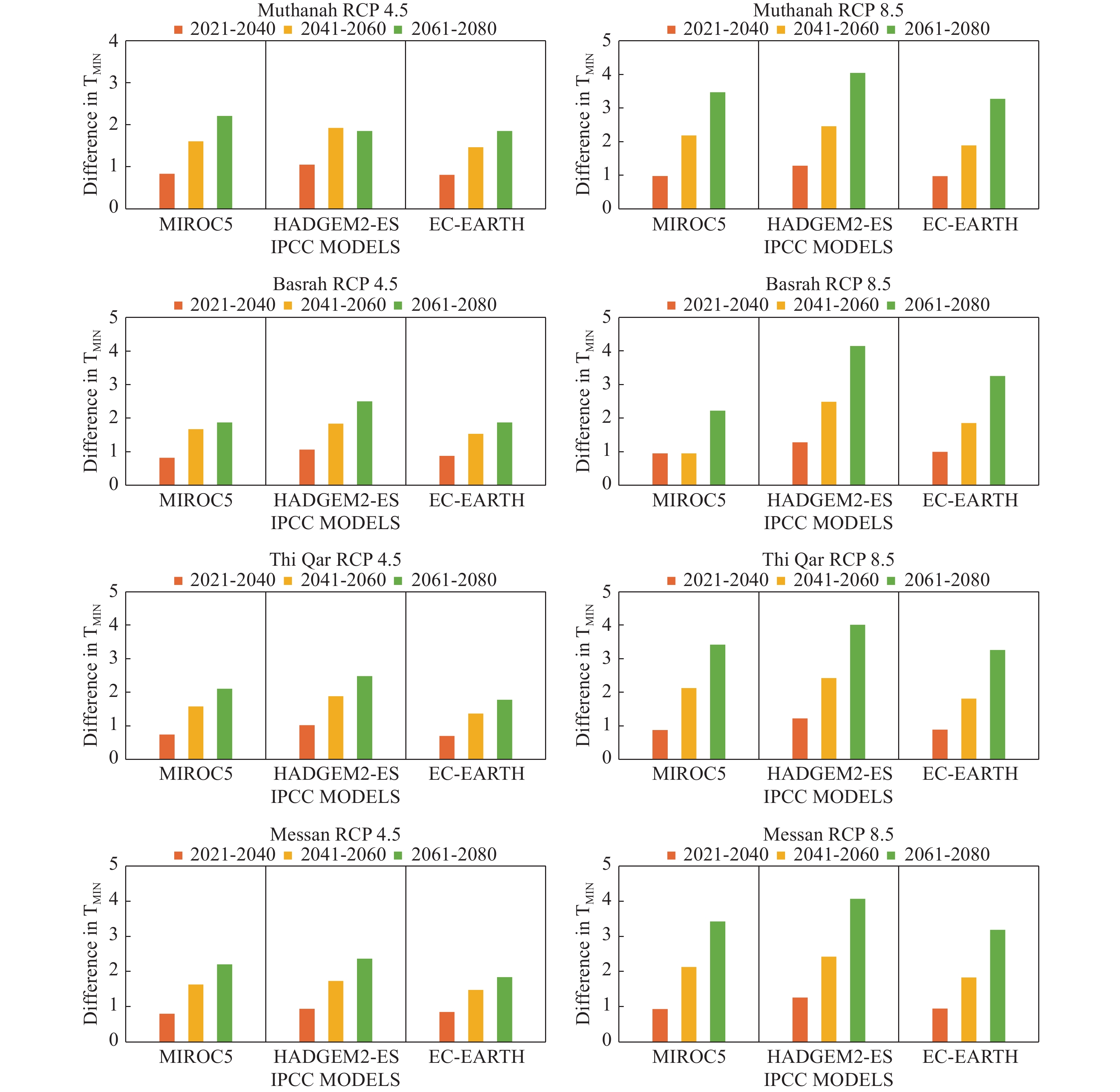
Climate change trends and adaptation strategies in Southern Regions of Iraq
Laheab A Al-Maliki, Rana Abd Al Hadi Mukheef, Khaled El-Tawil, Nadhir Al-Ansari
2025, 13(4): 449-468. doi: 10.26599/JGSE.2025.9280065
Abstract(651) FullText HTML (169) PDF(35)
Abstract:
This study investigates the impacts of climate change on temperature and precipitation patterns across four governorates in southern Iraq—Basrah, Thi Qar, Al Muthanna, and Messan—using an integrated modeling framework that combines the Long Ashton Research Station Weather Generator (LARS-WG) with three CMIP5-based Global Climate Models (Hadley Centre Global Environmental Model version 2 - Earth System (HadGEM2-ES)), European Community Earth-System Model (EC-Earth), and Model for Interdisciplinary Research on Climate version 5 (MIROC5). Projections were generated for three future time periods (2021–2040, 2041–2060, and 2061–2080) under two Representative Concentration Pathways (RCP4.5 and RCP8.5). By integrating high-resolution climate simulations with localized drought risk analysis, this study provides a detailed outlook on climate change trends in the region. The novelty of this research lies in its high-resolution, station-level analysis and its integration of localized statistical downscaling techniques to enhance the spatial applicability of coarse GCM outputs. Model calibration and validation were performed using historical climate data (1990–2020), resulting in high accuracy across all stations (R2 = 0.91–0.99; RMSE = 0.19–2.78), thus reinforcing the robustness of the projections. Results indicate a significant rise in average annual maximum and minimum temperatures, with increases ranging from 0.88°C to 3.68°C by the end of the century, particularly under the RCP8.5 scenario. Precipitation patterns exhibit pronounced interannual variability, with the highest predicted increases reaching up to 19.26 mm per season, depending on the model and location. These shifts suggest heightened vulnerability to drought and water scarcity, particularly in already arid regions such as Muthanna and Thi Qar. The findings underscore the urgent need for adaptive strategies in water resource management and agricultural planning, providing decision-makers with region-specific climate insights critical for sustainable development under changing climate conditions.