Geothermal structure revealed by curie isothermal surface under Guangdong Province, China
-
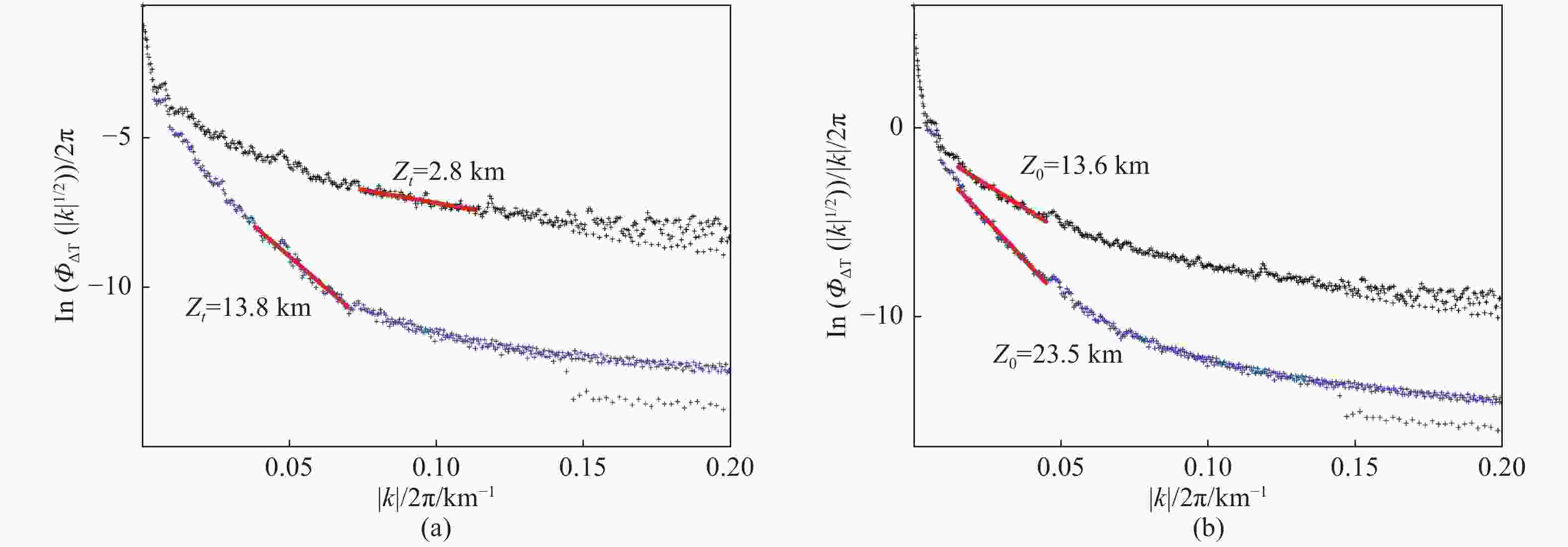
Abstract: Guangdong Province in Southeast China is noted for its numerous geothermal resources due to tectonic episodes, mainly occurred during the Cretaceous. The surface heat flow and geothermal gradient are the most direct ways to understand the temperature of the Earth. However, geothermal resources are poorly utilized in Guangdong Province due to limited numbers of boreholes and surficial hydrothermal fluids. To improve the understanding of underground temperature distribution in Guangdong Province, we have applied power-density spectral analysis to aeromagnetic anomaly data to calculate the depth of the Curie isothermal surface. Upward continuation is applied and tested to the magnetic data. The calculated Curie isotherm is between 18.5 km and 25 km below surface. The fluctuation in the depth range reflects lateral thermal perturbations in the Guangdong crust. In particular, the eastern, northern, western and coastline areas of the province have a relatively shallow Curie isotherm. By comparing the surface heat flow, geothermal gradient, distribution of Mesozoic granite-volcanic rocks, and natural hot springs, we conclude that during Mesozoic, magmatism exerted great influence on the deep thermal state of Guangdong Province. A shallow Curie isotherm surface, as well as numerous natural hot springs and high heat flow, show clear signatures of shallow heat sources.
-
Key words:
- Curie isotherm surface /
- Geothermal structure /
- Spectrum analysis /
- Guangdong Province
-
Figure 1. Topography and natural springs of study area.
The background of Fig. 1 is the elevation model from SRTM data (Farr et al. 2007), where elevation lower than -600 m is not shown.
Figure 5. (a) Curie isotherm surface depth and heat flow, geothermal gradient Heat flow and gradient data are taken from Yuan et al. (2006) (b) Curie isothermal surface depth (km), natural hot springs, and Mesozoic granite-volcanic rocks (Zhou et al. 2006)
-
An MJ, Shi YL. 2006. Lithospheric thickness of the Chinese continent. Physics of the Earth and Planetary Interiors, 159(3-4): 257-266. doi: 10.1016/j.pepi.2006.08.002 Artemieva IM, Mooney WD. 2001. Thermal thickness and evolution of Precambrian lithosphere: A global study. Journal of Geophysical Research, 106(B8): 16387-16414. doi: 10.1029/2000JB900439 Bektaş Ö. 2013. Thermal structure of the crust in Inner East Anatolia from aeromagnetic and gravity data. Physics of the Earth and Planetary Interiors, 221: 27-37. doi: 10.1016/j.pepi.2013.06.003 Blakely RJ. 1995. Potential theory in gravity and magnetic applications. New York: Cambridge University Press. Dimitriadis K, Tselentis GA, Thanassoulas K. 1987. A BASIC program for 2-D spectral analysis of gravity data and source-depth estimation. Computers & Geosciences, 13(5): 549-560. doi: 10.1016/0098-3004(87)90056-2 Farr TG, Rosen PA, Caro E, et al. 2007. The shuttle radar topography mission. Reviews of geophysics, 45(2): 1-33. doi: 10.1029/2005RG000183 Hu SB, He LJ, Wang JY. 2001. Compilation of heat flow data in the China continental area(3rd edition). Chinese Journal of Geophysics, 44(5): 604-618. (in Chinese) doi: 10.1002/cjg2.180 Hu XZ, Xu MJ, Xie XA, et al. 2006. A characteristic analysis of aeromagnetic anomalies and Curie point isotherms in Northeast China. Chinese Journal of Geophysics, 49(6): 1674-1681. (in Chinese) Kittel C. 1996. Introduction to solid state physics. New York: John Wiley & Sons Inc. Li C, Van Der Hilst RD. 2010. Structure of the upper mantle and transition zone beneath Southeast Asia from traveltime tomography. Journal of Geophysical Research, 115(B7). doi: 10.1029/2009jb006882 Lysak S. 2009. Thermal history, geodynamics, and current thermal activity of lithosphere in China. Russian Geology and Geophysics, 50(9): 815-825. doi: 10.1016/j.rgg.2009.08.007 Nwogbo PO. 1998. Spectral prediction of magnetic source depths from simple numerical models. Computers & Geosciences, 24(9): 847-852. doi: 10.1016/S0098-3004(97)00131-3 Okubo Y, Matsushima J, Correia A. 2003. Magnetic spectral analysis in Portugal and its adjacent seas. Physics and Chemistry of the Earth, Parts A/B/C, 28(9-11): 511-519. doi: 10.1016/S1474-7065(03)00070-6 Quenette S, Xi YF, Mansour J, et al. 2015. Underworld-GT applied to Guangdong, a tool to explore the geothermal potential of the crust. Journal of Earth Science, 26(1): 78-88. doi: 10.1007/s12583-015-0517-z Ross HE, Blakely RJ, Zoback MD. 2006. Testing the use of aeromagnetic data for the determination of Curie depth in California. Geophysics, 71(5): L51-L59. doi: 10.1190/1.2335572 Rudnick RL, McDonough WF, O'Connell RJ. 1998. Thermal structure, thickness and composition of continental lithosphere. Chemical Geology, 145(3-4): 395-411. doi: 10.1016/S0009-2541(97)00151-4 Spector A, Grant F. 1970. Statistical models for interpreting aeromagnetic data. Geophysics, 35(2): 293-302. doi: 10.1190/1.1440092 Sun YJ, Dong SW, Zhang H, et al. 2013. 3D thermal structure of the continental lithosphere beneath China and adjacent regions. Journal of Asian Earth Sciences, 62: 697-704. doi: 10.1016/j.jseaes.2012.11.020 Tanaka A, Okubo Y, Matsubayashi O. 1999. Curie point depth based on spectrum analysis of the magnetic anomaly data in East and Southeast Asia. Tectonophysics, 306(3): 461-470. doi: 10.1016/S0040-1951(99)00072-4 Turcotte DL, Schubert G. 2014. Geodynamics, 3rd edition. New York: Cambridge University Press. Vitorello I, Pollack HN. 1980. On the variation of continental heat flow with age and the thermal evolution of continents. Journal of Geophysical Research: Solid Earth, 85(B2): 983-995. doi: 10.1029/JB085iB02p00983 Wan TF. 2011. The tectonics of China: Data, maps and evolution. Beijing, Dordercht Heidelberg, London and New York: Springer and Higher Education. Wang H, Mao X, Wang T, et al. 2019. Hydrogeochemical characteristics of hot springs exposed from fault zones in western Guangdong and their 14C age correction. Journal of Groundwater Science and Engineering, 7(1): 1-14. doi: 10.19637/j.cnki.2305-7068.2019.01.001 Wang JY, Huang SP. 1990. Compilation of heat flow data in the China continental area(2nd Edition). Seismology and Geology, 12(4): 351-366. (in Chinese) Wu ZC, Gao JY, Zhao LH, et al. 2010. Characteristic of magnetic anomalies and curie point depth at northern continental margin of the South China Sea. Earth Science-Journal of China University of Geosciences, 35(6): 1060-1068. (in Chinese) doi: 10.3799/dqkx.2010.120 Xi YF, Wang GL, Liu S, et al. 2018. The formation of a geothermal anomaly and extensional structures in Guangdong, China: Evidence from gravity analyses. Geothermics, 72: 225-231. doi: 10.1016/j.geothermics.2017.11.009 Yuan YS, Ma YS, Hu SB, et al. 2006. Present-day geothermal characteristics in South China. Chinese Journal of Geophysics, 49(4): 1118-1126. (in Chinese) Zhang Y, Luo J, Feng J. 2020. Characteristics of geothermal reservoirs and utilization of geothermal resources in the southeastern coastal areas of China. Journal of Groundwater Science and Engineering, 8(2): 134-142. doi: 10.19637/j.cnki.2305-7068.2020.02.005 Zhang ZJ, Xu T, Zhao B, et al. 2013. Systematic variations in seismic velocity and reflection in the crust of Cathaysia: New constraints on intraplate orogeny in the South China continent. Gondwana Research, 24(3-4): 902-917. doi: 10.1016/j.gr.2012.05.018 Zhao JF, Shi XB, Qiu XL, et al. 2010. Characteristics and petroleum geological significance of Curie point isotherm in the northeastern South China Sea. Journal of tropical oceanography, 29(1): 126-131. (in Chinese) doi: 10.11978/j.issn.1009-5470.2010.01.126 Zhao P. 1995. Studies of the relationship between seismic velocity and heat production in the rocks of crust. Progress in Geophysics, 10(1): 292-305. (in Chinese) Zhou XM, Sun T, Shen WZ, et al. 2006. Petrogenesis of Mesozoic granitoids and volcanic rocks in South China: A response to tectonic evolution. Episodes, 29(1): 26-33. doi: 10.18814/epiiugs/2006/v29i1/004 Zhou ZM, Ma CQ, Qi SH, et al. 2020. Late Mesozoic high-heat-producing (HHP) and high-temperature geothermal reservoir granitoids: The most significant geothermal mechanism in South China. Lithos, 366-367: 105568. doi: 10.1016/j.lithos.2020.105568 -
E-mail alert
Rss
下载:





