Groundwater recharge modeling with integration of land use/land cover and climate change projections in Surakarta City, Indonesia
-
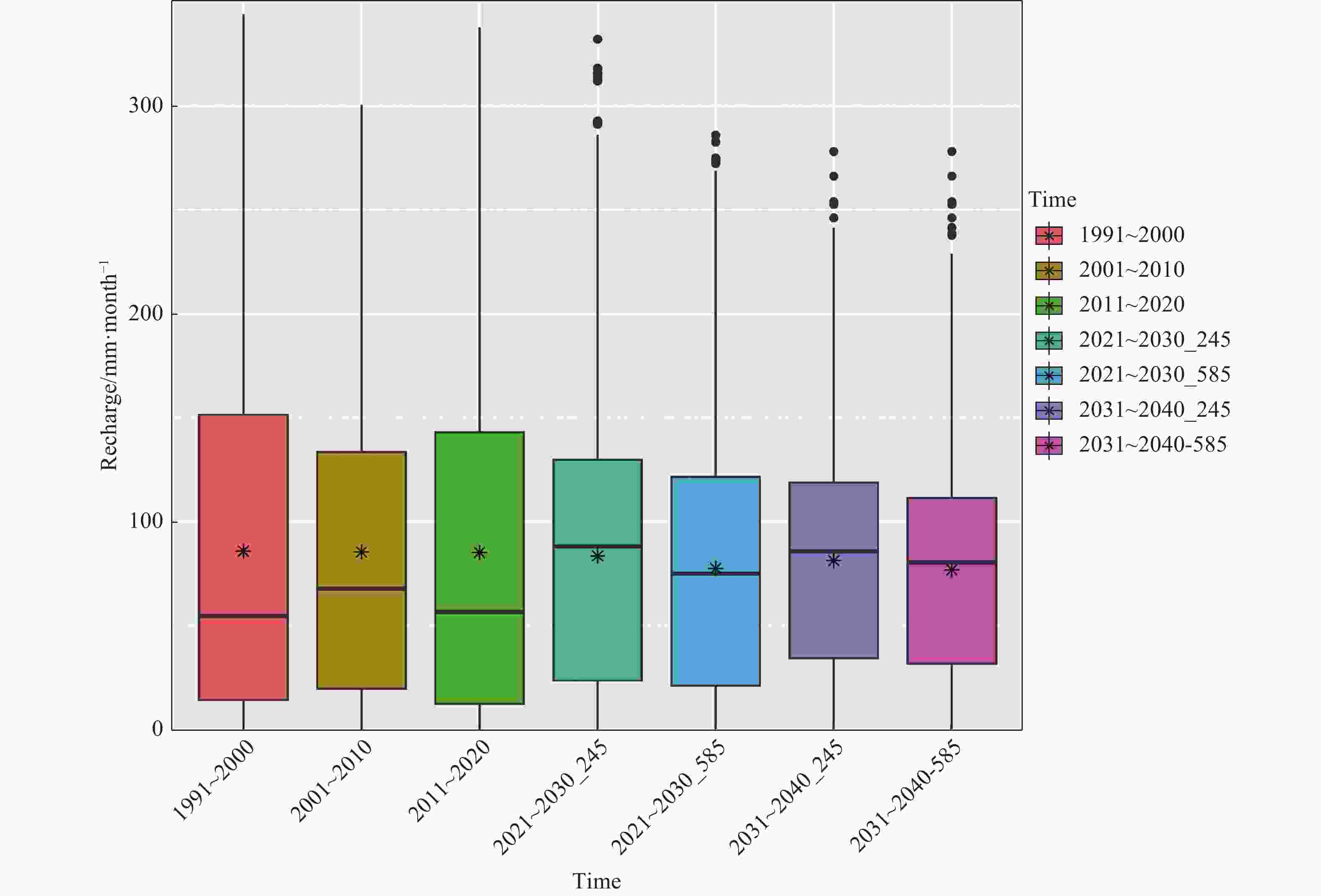
Abstract: Increased population mobility in urban areas drives higher water demand and significant changes in Land Use and Land Cover (LULC), which directly impact groundwater recharge capacity. This study aims to predict LULC changes in 2030 and 2040, analyse groundwater recharge quantities for historical, current, and projected conditions, and evaluate the combined impacts of LULC and climate change. The Cellular Automata-Artificial Neural Network (CA-ANN) method was employed to predict LULC changes, using classified and interpreted land use data from Landsat 7 ETM+ (2000 and 2010) and Landsat 8 OLI (2020) imagery. The Soil and Water Assessment Tool (SWAT) model was used to simulate groundwater recharge. Input data for the SWAT model included Digital Elevation Model (DEM), soil type, LULC, slope, and climate data. Climate projections were based on five Regional Climate Models (RCMs) for two time periods, 2021–2030 and 2031–2040, under Shared Socioeconomic Pathways (SSP) scenarios 2–45 and 5–85. The results indicate a significant increase in built-up areas, accounting for 71.08% in 2030 and 71.83% in 2040. Groundwater recharge projections show a decline, with average monthly recharge decreasing from 83.85 mm/month under SSP2-45 to 78.25 mm/month under SSP5-85 in 2030, and further declining to 82.10 mm/month (SSP2-45) and 77.44 mm/month (SSP5-85) in 2040. The expansion of impervious surfaces due to urbanization is the primary factor driving this decline. This study highlights the innovative integration of CA-ANN-based LULC predictions with climate projections from RCMs, offering a robust framework for analysing urban groundwater dynamics. The findings underscore the need for sustainable urban planning and water resource management to mitigate the adverse effects of urbanization and climate change. Additionally, the methodological framework and insights gained from this research can be applied to other urban areas facing similar challenges, thus contributing to broader efforts in groundwater conservation.
-
Key words:
- Groundwater Recharge /
- Climate Change /
- Remote Sensing /
- Socioeconomic Pathways /
- SWAT
-
Figure 1. Study area; (a) Hydrogeology; (b) Elevation; (c) SWAT-based delineation of Surakarta City within the Bengawan Solo Basin (modified from Putranto et al. 2016, 2017)
Figure 2. Hydrogeological profiles of two typical cross-sections (modified from Putranto et al. 2016)
Table 1. Datasets used in this study
Data Spatial Resolution Temporal Resolution Period Source Digital Elevation Model (DEM) 8 m - - DEMNAS LULC maps (Landsat 7-ETM and Landsat 8-OLI) 30 m - 3 maps (2000, 2010, 2020) USGS Soil type maps 1:50000 - - BBSDLP Rainfall 0.05° × 0.05° Daily 1991–2020 CHIRPS Temperature, solar radiation, wind speed, and relative humidity 0.25° × 0.25° Daily 1991–2020 ERA5 Observed streamflow (m3/s) - Daily 2010–2021 BBWS Bengawan Solo Pos Jurug Population density - - 2000–2021 BPS Kota Surakarta ACCESS-ESM1-5 1.9° × 1.2° Daily 1991–2040 In association with Australia Weather and Climate Research, Australia Government BCC-CSM2-MR 1.9° × 1.9° Daily 1991–2040 Beijing Climate Center (BCC), China FGOALS-f3-L 1.3° × 1° Daily 1991–2040 State Key Laboratory of Numerical Modeling for Atmospheric Sciences and Geophysical Fluid Dynamics (LASG), China MIROC6 1.4° × 1.4° Daily 1991–2040 Model for Interdisciplinary Research on Climate (MIROC), Japan MRI-ESM2-0 1.1° × 1.1° Daily 1991–2040 Meteorological Research Institute (MRI), Japan Table 2. LULC classification scheme
LULC type Description Build-up area Urban, residential, industrial, and other construction land Vegetation Green space (RTH), rice, and shrubs Roads Motorways and roads in residential areas Waterbody River, lake Table 3. Land use and land cover area in Surakarta City (2000–2020)
LULC Type 2000 2010 2020 Km2 % Km2 % Km2 % Built-up area 31.27 66.93 31.66 67.77 32.54 69.65 Vegetation 9.55 20.44 8.37 17.92 7.28 15.58 Roads 5.2 11.13 5.84 12.50 6.05 12.95 Waterbody 0.7 1.50 0.85 1.82 0.85 1.82 Table 4. Comparison of LULC in 2020: Existing vs. projected conditions
LULC Type Observation Model Kappa value (Overall) Km2 % Km2 % Built-up area 32.54 69.65 33.13 70.91 0.82 Vegetation 7.28 15.58 6.93 14.83 Roads 6.05 12.95 5.77 12.35 Waterbody 0.85 1.82 0.89 1.90 Table 5. Accuracy of LULC predictions
LULC Type 2030 2040 RTRW Km2 % Km2 % Km2 % Build-up area 33.21 71.08 33.56 71.83 40.78 87.29 Vegetation 6.13 13.12 5.54 11.86 3.71 7.94 Roads 6.53 13.98 6.77 14.49 0.52 1.11 Waterbody 0.85 1.82 0.85 1.82 1.71 3.66 Table 6. Extent of conformity between LULC prediction results and the Surakarta City RTRW
Suitability 2030/km2 % 2040/km2 % Suitable 35.71 76.43 36.16 77.39 Not suitable 11.01 23.57 10.56 22.61 Table 7. Evaluation of monthly rainfall model performance during the historical periods (1991–2020)
No Model R MAE R* MAE* 1 ACCESS-ESM1-5 0.28 138.55 0.62 65.06 2 BCC-CSM2-MR 0.18 158.61 0.45 83.15 3 FGOALS-f3-L 0.05 134.02 0.67 59.02 4 MIROC6 0.12 120.32 0.55 75.96 5 MRI-ESM2-0 0.24 145.83 0.60 62.83 6 MMA 0.42 92.35 0.73 52.02 *corrected Table 8. Parameters used in the SWAT model calibration process
Parameters Value range Value of terp Min Max 1 R__CN2.mgt −0.25 0.3 −0.27 2 V__GW_DELAY.gw 200 250 245 3 V__ALPHA_BNK.rte 0.4 0.5 0.45 4 V__CH_K2.rte 0 0.125 0.03125 5 R__SOL_AWC(..).sol 0.3 0.35 0.32 6 R__SOL_K(..).sol 0 300 75 7 R__SOL_BD(..).sol 1.8 1.9 1.7 8 V__CH_K1.sub 0 250 187.5 9 V__CH_N1.sub 0.014 0.025 0.02225 Table 9. Comparison results between observed and simulated data
Default value Parameterization R2 0.18 0.85 NSE 0.40 0.62 PBIAS 33.5 7.91 KGE 0.37 0.75 Table 10. Annual groundwater recharge (GWR) for the historical period 1991–2020 (mm/year)
Year GWR Year GWR Year GWR 1991 57,468.8 2001 43,542.4 2011 37,893.8 1992 57,451.4 2002 36,991.6 2012 34,216.2 1993 57,406.1 2003 38,434.1 2013 30,139.3 1994 42,266.7 2004 43,201.7 2014 30,911.3 1995 52,614.7 2005 42,889.6 2015 32,318.4 1996 55,375.4 2006 47,907.3 2016 36,665.6 1997 63,570.0 2007 45,755.6 2017 31,588.7 1998 56,615.6 2008 49,361.1 2018 36,357.9 1999 44,909.0 2009 44,891.4 2019 31,395.0 2000 57,747.3 2010 72,755.2 2020 31,907.8 Mean 54,542.5 Mean 46,573.0 Mean 33,339.4 Table 11. Annual Groundwater Recharge (GWR) quantity for the projection period 2021–2040 under climate scenarios SSP2-45 and SSP5-85 (mm/year)
SSP2-45 SSP5-85 SSP2-45 SSP5-85 Year GWR Year GWR Year GWR Year GWR 2021 26,182.6 2021 26,795.4 2031 20,954.8 2031 17,832.3 2022 27,095.4 2022 21,941.6 2032 24,800.7 2032 29,151.7 2023 35,455.7 2023 22,788.8 2033 30,742.1 2033 26,593.7 2024 26,716.6 2024 25,394.4 2034 27,387.9 2034 22,420.5 2025 25,510.5 2025 25,658.8 2035 20,172.7 2035 29,144.8 2026 41,246.3 2026 28,468.7 2036 34,223.9 2036 24,122.8 2027 32,872.4 2027 26,923.8 2037 27,736.7 2037 16,103.5 2028 25,403.0 2028 28,906.8 2038 22,509.7 2038 29,340.3 2029 26,075.2 2029 26,219.6 2039 20,289.0 2039 23,973.1 2030 32,116.3 2030 44,648.1 2040 32,286.6 2040 22,115.4 Mean 29,867.4 Mean 27,774.6 Mean 26,110.4 Mean 24,079.8 -
Abbas Z, Yang G, Zhong Y, et al. 2021. Spatiotemporal change analysis and future scenario of lulc using the CA-ANN approach: A case study of the greater bay area, China. Land, 10(6): 584. DOI: 10.3390/land10060584 Adhikari RK, Mohanasundaram S, Shrestha, S. 2020. Impacts of land-use changes on the groundwater recharge in the Ho Chi Minh city, Vietnam. Environmental Research, 185: 109440. DOI: 10.1016/j.envres.2020.109440 Alfandhani RS, Hizbaron DR, Widyastuti M. 2021. Kajian Pengaruh Kondisi Resapan Air pada Pola Pemanfaatan Ruang di Sub DAS Jlantah-Walikun pada Wilayah DAS Bengawan Solo Hulu. Jurnal Pendidikan Tambusai, 5(3): 11236–11244. (in Indonesian Arnold JG, Kiniry R, Srinivasan R, et al. 2012. Input/output documentation soil & water assessment tool.Texas Water Resources Institute: Thrall, TX, USA, 1-650. As-syakur AR, Suarna IW, Adnyana IWS, et al. 2008. Studi Perubahan Penggunaan Lahan di DAS Badung. Bumi Lestari, 10(2): 200–207. (in Indonesian Boretti A, Rosa L. 2019. Reassessing the projections of the world water development report. NPJ Clean Water, 2(1): 15. DOI: 10.1038/s41545-019-0039-9. Bucton BGB, Shrestha S, Mohanasundaram S, et al. 2022. Impacts of climate and land use change on groundwater recharge under shared socioeconomic pathways: A case of Siem Reap, Cambodia. Environmental Research, 211: 113070. DOI: 10.1016/j.envres.2022.113070. Desky AF. 2022. Sosiologi pedesaan dan perkotaan. (In Indonesian DLH Kota Surakarta. 2021. Indeks Kualitas Lingkungan Hidup Kota Surakarta Tahun 2021. (In Indonesian DLH Kota Surakarta. 2022. Indeks Kualitas Lingkungan Hidup Kota Surakarta Tahun 2022. (In Indonesian Ferreira RS, Uagoda RE. 2017. Revista Brasileira de Geografia Física Análise da predição do balanço hídrico da bacia do ribeirão do Gama-DF através do modelo SWAT. In Revista Brasileira de Geografia Física, 10(03): 880-893. (in Portuguese Fitriana AL, Subiyanto S, Firdaus HS. 2017. Model Cellular Automata Markov untuk Prediksi Perkembangan Fisik Wilayah Permukiman Kota Surakarta menggunakan Sistem Informasi Geografis. Jurnal Geodesi Undip Oktober, 6(4): 246-253. (In Indonesian Guo H, Hu Q, Jiang T. 2008. Annual and seasonal streamflow responses to climate and land-cover changes in the Poyang Lake basin, China. Journal of Hydrology, 355(1-4): 106−122. DOI: 10.1016/j.jhydrol.2008.03.020. Guo XD, Liu Q, Li WP, et al. 2024. Groundwater imbalance and its mutual feedback relationship with land use in West Liaohe Plain. Hydrogeology & Engineering Geology, 51(4): 77−87. DOI: 10.16030/j.cnki.issn.1000-3665.202310001. Halefom A, Sisay E, Khare D, et al. 2017. Hydrological modeling of urban catchment using semi-distributed model. Modeling Earth Systems and Environment, 3(2): 683−692. DOI: 10.1007/s40808-017-0327-7. Indhanu N, Chalermyanont T, Chub-Uppakarn T. 2025. Spatial assessment of land use and land cover change impacts on groundwater recharge and groundwater level: A case study of the Hat Yai basin. Journal of Hydrology: Regional Studies, 57: 102097. DOI: 10.1016/j.ejrh.2024.102097. Landis JR, Koch GG. 1977. The measurement of observer agreement for categorical data. Biometrics, 159-174. Lei Z, Yang J, Yang Y, et al. 2019. Impact of urban sprawl on dry island effects and its countermeasures. Sustainable Cities and Society, 51. Luetkemeier R, Söller L, Frick-Trzebitzky F. 2022. Anthropogenic pressures on groundwater. In Encyclopedia of Inland Waters, Second Edition (3): 548-559. DOI: 10.1016/B978-0-12-819166-8.00183-3 Meaurio M, Zabaleta A, Uriarte JA, et al. 2015. Evaluation of SWAT models performance to simulate streamflow spatial origin: The case of a small forested watershed. Journal of Hydrology, 525: 326−334. DOI: 10.1016/j.jhydrol.2015.03.050. Mengistu TD, Chung IM, Kim MG, et al. 2022. Impacts and implications of land use land cover dynamics on groundwater recharge and surface runoff in east african watershed. Water (Switzerland), 14(13): 2068. DOI: 10.3390/w14132068. Moriasi DN, Arnold JG, Van Liew MW, et al. 2007. Model evaluation guidelines for systematic quantification of accuracy in watershed simulations. Transactions of the ASABE, 50(3): 885−900. DOI: 10.13031/2013.23153. Muhammad R, Zhang W, Abbas Z, et al. 2022. Spatiotemporal change analysis and prediction of future land use and land cover changes using QGIS MOLUSCE Plugin and remote sensing big data: A case study of Linyi, China. Land, 11(3): 419. DOI: 10.3390/land11030419. Mustafa A, Van Rompaey A, Cools M, et al. 2018. Addressing the determinants of built-up expansion and densification processes at the regional scale. Urban Studies, 55(15): 3279−3298. DOI: 10.1177/0042098017749176. Nabila DA. 2023. Pemodelan prediksi dan kesesuaian perubahan penggunaan lahan menggunakan Cellular Automata-Artificial Neural Network (CA-ANN). Tunas Agraria, 6(1): 41−55. DOI: 10.31292/jta.v6i1.203 (In Indonesian Neitsch SL, Arnold JG, Kiniry JR, et al. 2011. Soil and water assessment tool theoretical documentation version 2009. Pandiangan NL, Diara IW, Kusmiyarti TB. 2021. Analisis Kondisi Daerah Resapan Air Kecamatan Sukasada Kabupaten Buleleng menggunakan Sistem Informasi Geografis. Jurnal Agroekoteknologi Tropika, 10(3): 324–336. (In Indonesian Pechlivanidis LG, Arheimer B. 2015. Large scale hudrological modelling by using modified PUB recommendations: The India-HYPE case. Hydrology and Earth System Sciences, 19: 4559−4579. DOI: 10.5194/hess-19-4559-2015. Piani C, Haerter JO, Coppola E. 2010. Statistical bias correction for daily precipitation in regional climate models over Europe. Theoretical and Applied Climatology, 99(1-2): 187−192. DOI: 10.1007/s00704-009-0134-9. Piyumi MMM, Abenayake C, Jayasinghe A, et al. 2021. Urban flood modeling application: Assess the effectiveness of building regulation in coping with urban flooding under precipitation uncertainty. Sustainable Cities and Society, 75: 103294. DOI: 10.1016/j.scs.2021.103294. Putranto TT, Krisna W, Revina R, et al. 2016. Groundwater vulnerability to contamination assessment using GOD method in Surakarta city, central Java. Proceeding PIT-PAAI. Putranto TT, Kusuma KI. 2009. Permasalahan airtanah pada daerah urban. Teknik, 30(1): 48−56. Putranto TT, Widiarso DA, Udin MI. 2017. Zonasi Potensi Air Tanah Kota Surakarta, JawaTengah. Proceeding, Seminar Nasional Kebumian. (In Indonesian Ridho FT, Nurhidayati E, Damayanti HN, et al. 2020. Komparasi Model Cellular Automata dalam Memprediksi Perubahan Lahan Sawah di Kabupaten Purworejo. Jukung Jurnal Teknik Lingkungan, 6(2): 157−167. DOI: 10.20527/jukung.v6i2.9259 (In Indonesian Sajjad MM, Wang J, Abbas H, et al. 2022. Impact of climate and land-use change on groundwater resources, study of Faisalabad District, Pakistan. Atmosphere, 13(7): 1097. DOI: 10.3390/atmos13071097. Santhi C, Allen PM, Muttiah RS, et al. 2008. Regional estimation of base flow for the conterminous United States by hydrologic landscape regions. Journal of Hydrology, 351(1-2): 139−153. DOI: 10.1016/j.jhydrol.2007.12.018. Santhi C, Arnold JG, Williams JR, et al. 2001. Validation of the SWAT Model on a Large Rwer Basin with Poin and Nonpoint Sources. Journal of the American Water Resources Association, 37: 1169−1188. DOI: 10.1111/j.1752-1688.2001.tb03630.x. Saputra DR, Yudono ARA, Partoyo. 2020. Assessment of the groundwater recharge potential areas using GIS in Kajor Kulon Hamlet, Selopamioro, Imogiri, Bantul, Yogyakarta. Jurnal Geografi Lingkungan Tropik, 4(2): 4. DOI: 10.7454/jglitrop.v4i2.89 Scanlon BR, Reedy RC, Stonestrom DA, et al. 2005. Impact of land use and land cover change on groundwater recharge and quality in the southwestern US. Global Change Biology, 11(10): 1577−1593. DOI: 10.1111/j.1365-2486.2005.01026.x. Sejati AE. 2020. Analisis Perubahan Tutupan Lahan dan Pengaruhnya terhadap Kemampuan Resapan Air di Daerah Aliran Sungai. Jurnal Planologi, 17(1): 1−12. DOI: 10.30659/jpsa.v17i1.7555. (In Indonesian Siddik MS, Tulip SS, Rahman A, et al. 2022. The impact of land use and land cover change on groundwater recharge in northwestern Bangladesh. Journal of Environmental Management, 315: 115130. DOI: 10.1016/j.jenvman.2022.115130. Sisay E, Halefom A, Khare D, et al. 2017. Hydrological modelling of ungauged urban watershed using SWAT model. Modeling Earth Systems and Environment, 3(2): 693−702. DOI: 10.1007/s40808-017-0328-6. Stull R. 2017. Practical meteorology an algebra-based survey of atmospheric science. Available on http://www.eos.ubc.ca/~geol/softeng/practical.html Suharyanto. 2018. Analisis Dampak Perubahan Tata Guna Lahan terhadap Daerah Resapan Air di Wilayah Perkotaan. Jurnal Teknologi Lingkungan, 19(2): 149−158. (In Indonesian Tamm O, Kokkonen T, Warsta L, et al. 2023. Modelling urban stormwater management changes using SWMM and convection-permitting climate simulations in cold areas. Journal of Hydrology, 622: 129656. DOI: 10.1016/j.jhydrol.2023.129656. Tegegne G, Melesse AM, Worqlul AW. 2020. Development of multi-model ensemble approach for enhanced assessment of impacts of climate change on climate extremes. Science of the Total Environment, 704: 135357. DOI: 10.1016/j.scitotenv.2019.135357. Wibisono P, Miladan N, Pamardhi-Utomo R. 2023. Hubungan Perubahan Kerapatan Vegetasi dan Bangunan terhadap Suhu Permukaan Lahan: Studi Kasus di Aglomerasi Perkotaan Surakarta, 5: 148–162. Widyastuti MT, Taufik M, Santikayasa IP. 2018. Prediksi Debit Jangka Panjang untuk Sungai Bengawan Solo. Jurnal Geografi, 15(2): 71−82. DOI:10.15294/jg.v15i2.15387 (In Indonesian Willmot CJ, Matsuura K. 2005. Advantages of the Mean Absolute Error (MAE) over the Root Mean Square Error (RMSE) in assessing average model performance. Climate Research, 30(1): 79−82. DOI: 10.3354/cr030079. Xu T, Gao J, Coco G. 2019. Simulation of urban expansion via integrating artificial neural network with Markov chain–cellular automata. International Journal of Geographical Information Science, 33(10): 1960−1983. DOI: 10.1080/13658816.2019.1600701. Yunus HS. 2005. Manajemen kota: Perspektif spasial. Yogyakarta: Pustaka pelajar, 2005. (In Indonesian Zhang JK, Wang JP, Shi JS. 2024. Attribution analysis of water-sediment variation under the influence of climate change and human activities in the Kuye River Basin. Hydrogeology & Engineering Geology, 51(6): 47−59. DOI: 10.16030/j.cnki.issn.1000-3665.202312053. Zhang Q, Liu J, Singh VP, et al. 2016. Evaluation of impacts of climate change and human activities on streamflow in the Poyang Lake basin, China. Hydrological Processes, 30(14): 2562−2576. DOI: 10.1002/hyp.10814. -
E-mail alert
Rss
下载:





