• pISSN 2305-7068
  • eISSN 2097-7476
  • Indexed by ESCI CABI CAS
  • DOAJ EBSCO ProQuest Scopus GeoRef AJ CNKI
Advanced Search
Volume 13 Issue 4
Dec.  2025
Turn off MathJax
Article Contents
AL-MALIKI Laheab A., Mukheef RAAH, El-Tawil K, et al. 2025. Climate change trends and adaptation strategies in Southern Regions of Iraq. Journal of Groundwater Science and Engineering, 13(4): 449-468 doi:  10.26599/JGSE.2025.9280065
Citation: AL-MALIKI Laheab A., Mukheef RAAH, El-Tawil K, et al. 2025. Climate change trends and adaptation strategies in Southern Regions of Iraq. Journal of Groundwater Science and Engineering, 13(4): 449-468 doi:  10.26599/JGSE.2025.9280065

Climate change trends and adaptation strategies in Southern Regions of Iraq

doi: 10.26599/JGSE.2025.9280065
More Information
  • Corresponding author: laheab.almaliki@uokufa.edu.iq
  • Received Date: 2024-11-21
  • Accepted Date: 2025-09-03
  • Available Online: 2025-10-10
  • Publish Date: 2025-12-15
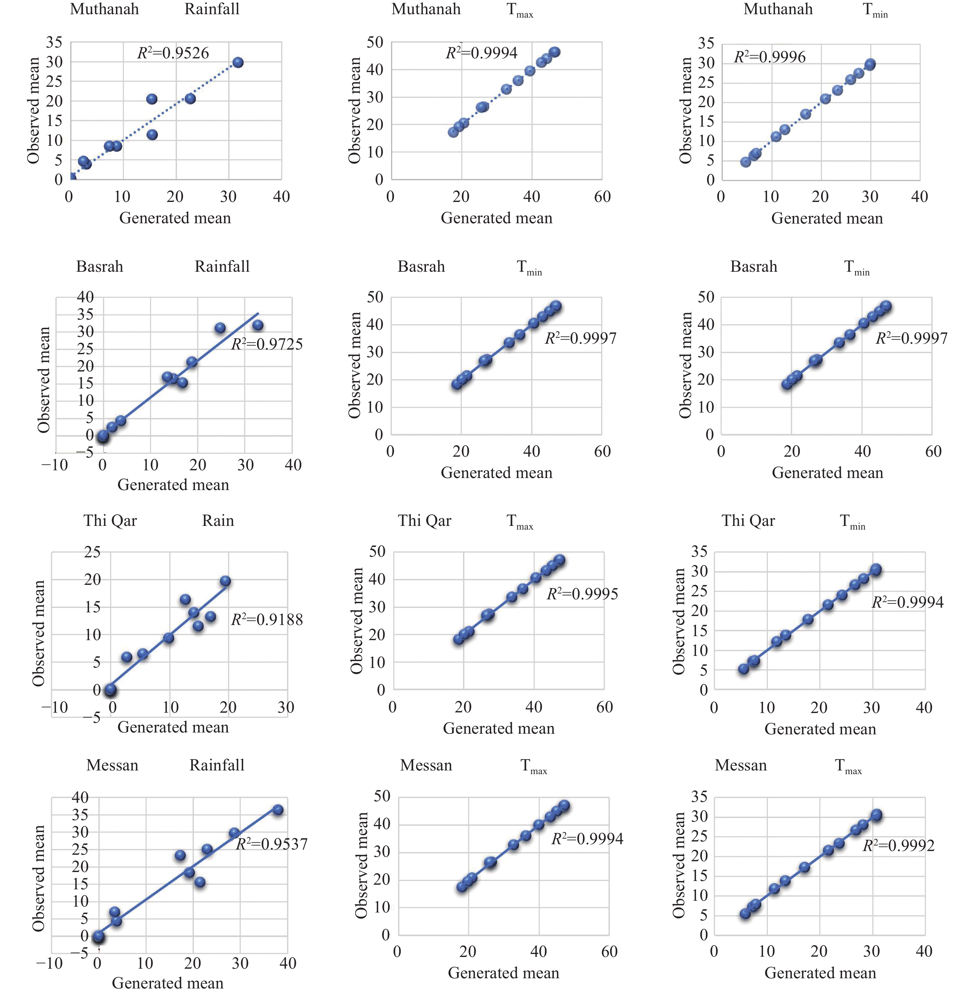
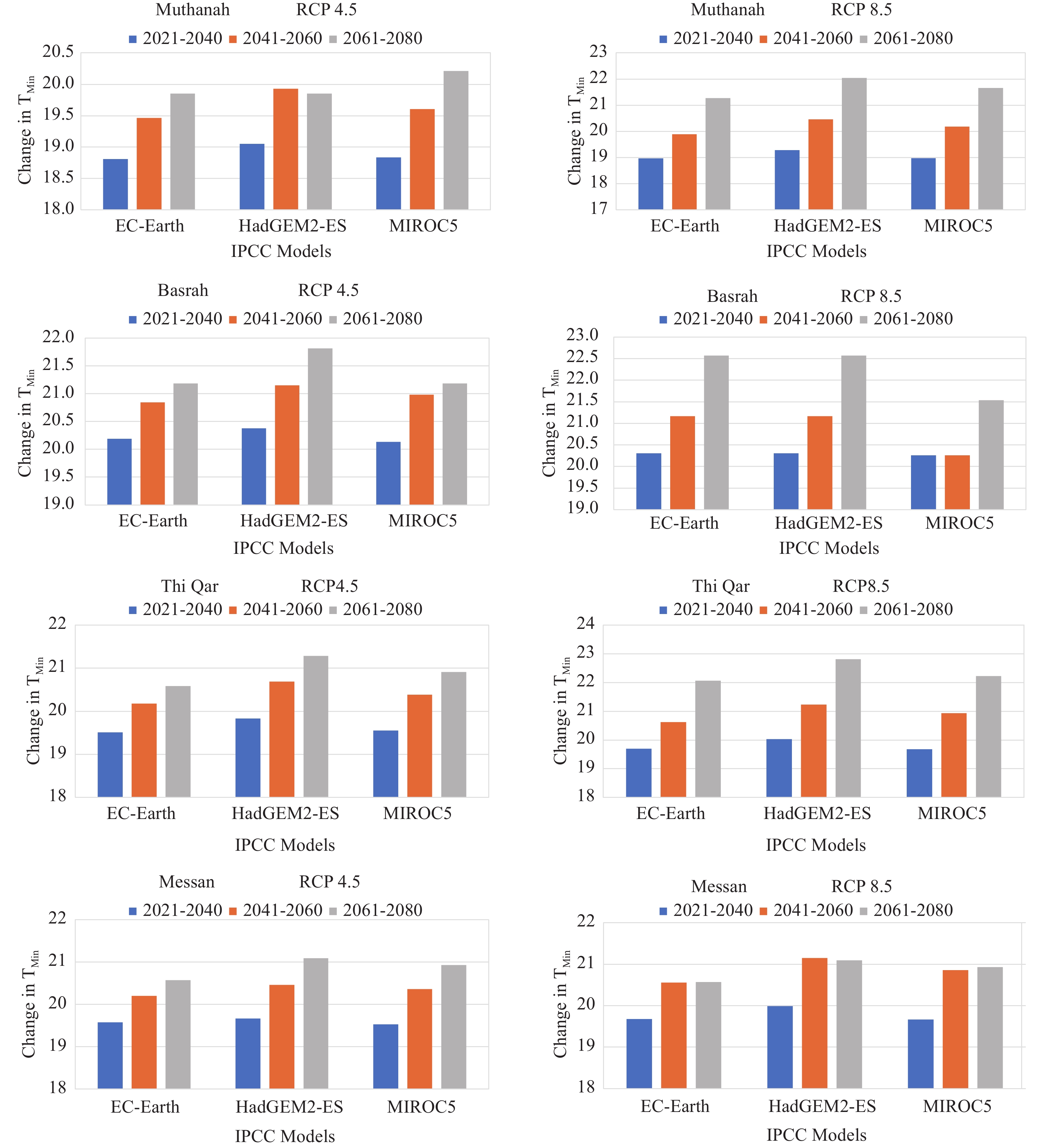
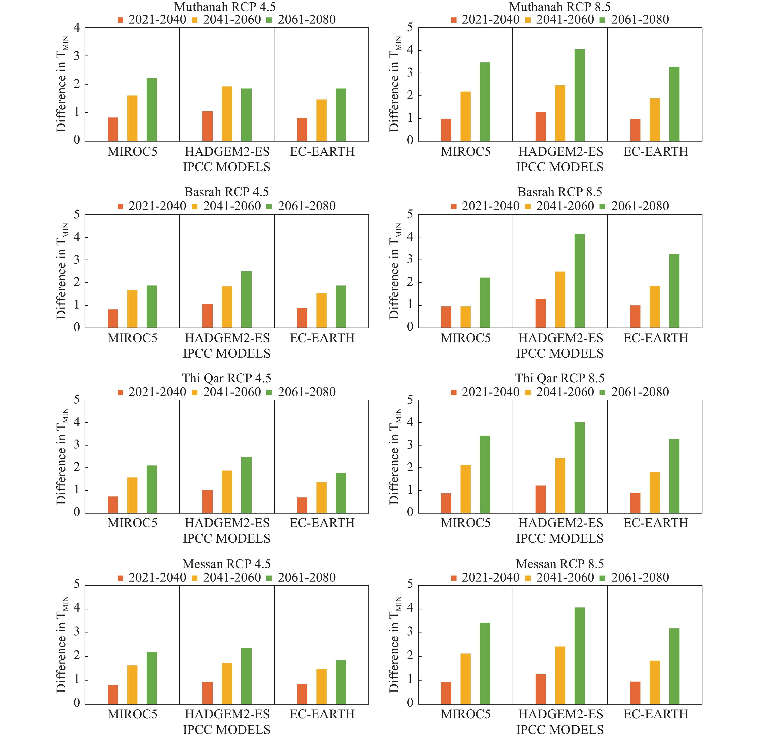
  • This study investigates the impacts of climate change on temperature and precipitation patterns across four governorates in southern Iraq—Basrah, Thi Qar, Al Muthanna, and Messan—using an integrated modeling framework that combines the Long Ashton Research Station Weather Generator (LARS-WG) with three CMIP5-based Global Climate Models (Hadley Centre Global Environmental Model version 2 - Earth System (HadGEM2-ES)), European Community Earth-System Model (EC-Earth), and Model for Interdisciplinary Research on Climate version 5 (MIROC5). Projections were generated for three future time periods (2021–2040, 2041–2060, and 2061–2080) under two Representative Concentration Pathways (RCP4.5 and RCP8.5). By integrating high-resolution climate simulations with localized drought risk analysis, this study provides a detailed outlook on climate change trends in the region. The novelty of this research lies in its high-resolution, station-level analysis and its integration of localized statistical downscaling techniques to enhance the spatial applicability of coarse GCM outputs. Model calibration and validation were performed using historical climate data (1990–2020), resulting in high accuracy across all stations (R2 = 0.91–0.99; RMSE = 0.19–2.78), thus reinforcing the robustness of the projections. Results indicate a significant rise in average annual maximum and minimum temperatures, with increases ranging from 0.88°C to 3.68°C by the end of the century, particularly under the RCP8.5 scenario. Precipitation patterns exhibit pronounced interannual variability, with the highest predicted increases reaching up to 19.26 mm per season, depending on the model and location. These shifts suggest heightened vulnerability to drought and water scarcity, particularly in already arid regions such as Muthanna and Thi Qar. The findings underscore the urgent need for adaptive strategies in water resource management and agricultural planning, providing decision-makers with region-specific climate insights critical for sustainable development under changing climate conditions.
  • 加载中
  • Adamo N, Al-Ansari N, Sissakian V, et al. 2022. Climate change: Droughts and increasing desertification in the Middle East, with special reference to Iraq. Engineering, 14(07): 235−273. DOI:  10.4236/eng.2022.147021.
    Agyakwah W, Lin YL. 2021. Generation and enhancement mechanisms for extreme orographic rainfall associated with Typhoon Morakot (2009) over the Central Mountain Range of Taiwan. Atmospheric Research, 247: 105160. DOI:  10.1016/j.atmosres.2020.105160.
    Al-Maliki LA, Al-Mamoori SK, Al-Ansari N, et al. 2022. Climate change impact on water resources of Iraq (a review of literature). IOP Conference Series, Earth and Environmental Science, 1120(1): 012025. DOI:  10.1088/1755-1315/1120/1/012025.
    Al-Bahrani HS, Al-Rammahi AH, Al-Mamoori SK, et al. 2022. Groundwater detection and classification using remote sensing and GIS in Najaf, Iraq. Groundwater for Sustainable Development, 19: 100838. DOI:  10.1016/j.gsd.2022.100838.
    Al-Maliki LA, Al-Mamoori SK, Jasim IA, et al. 2022. Perception of climate change effects on water resources: Iraqi undergraduates as a case study. Arabian Journal of Geosciences, 15(6): 503. DOI:  10.1007/s12517-022-09695-y.
    Al-Ansari N, Saleh S, Abdullah T, et al. 2021. Quality of surface water and groundwater in Iraq. Earth Sciences and Geotechnical Engineering, 11(2): 161−199. DOI:  10.47260/jesge/1124.
    Attogouinon A, Lawin AE, Deliège JF. 2020. Evaluation of general circulation models over the upper Ouémé River Basin in the Republic of Benin. Hydrology, 7(1): 11. DOI:  10.3390/hydrology7010011.
    Change IPOC. 2007. Climate change 2007: The physical science basis. Agenda, 6(07): 333.
    Daoudy M, Al-Saidi M, Al Manji A, et al. 2024. Troubled waters in conflict and a changing climate: Transboundary Basins across the Middle East and North Africa. Carnegie Endowment for International Peace.
    Demory ME, Berthou S, Sørland SL, et al. 2020. Can high-resolution GCMs reach the level of information provided by 12–50 km CORDEX RCMs in terms of daily precipitation distribution? Geoscientific Model Development Discussions, 1-33.
    Francis D, Fonseca R. 2024. Recent and projected changes in climate patterns in the Middle East and North Africa (MENA) region. Scientific Reports, 14(1): 10279. DOI:  10.1038/s41598-024-60976-w.
    Han Z, Shi Y, Wu J, et al. 2019. Combined dynamical and statistical downscaling for high-resolution projections of multiple climate variables in the Beijing–Tianjin–Hebei Region of China. Journal of Applied Meteorology and Climatology, 58(11): 2387-2403.
    Hashim BM, Sultan MA, Al Maliki A, et al. 2020. Estimation of greenhouse gases emitted from energy industry (Oil refining and electricity generation) in Iraq using IPCC methodology. Atmosphere, 11(6): 662. DOI:  10.3390/atmos11060662.
    Hassan WH, Nile BK, Kadhim ZK, et al. 2023. Trends, forecasting and adaptation strategies of climate change in the middle and west regions of Iraq. SN Applied Sciences, 5(12): 312. DOI:  10.1007/s42452-023-05544-z.
    Jahangir MH, Haghighi P, Danehkar S. 2022. Downscaling climate parameters in Fars province, using models of the fifth report and RCP scenarios. Ecological Informatics, 68: 101558. DOI:  10.1016/j.ecoinf.2022.101558.
    Jasim IA, Al-Maliki LA, Al-Mamoori SK. 2022. Water corridors management: A case study from Iraq. International Journal of River Basin Management, 1-11. DOI:  10.1080/15715124.2022.2079662.
    Khalaf RM, Hussein HH, Hassan WH, et al. 2022. Projections of precipitation and temperature in Southern Iraq using a LARS-WG Stochastic weather generator. Physics and Chemistry of the Earth, Parts A/B/C, 128: 103224.
    Knutti R, Furrer R, Tebaldi C, et al. 2010. Challenges in combining projections from multiple climate models. Journal of Climate, 23(10): 2739−2758. DOI:  10.1175/2009JCLI3361.1.
    Lun Y, Liu L, Cheng L, et al. 2021. Assessment of GCMs simulation performance for precipitation and temperature from CMIP5 to CMIP6 over the Tibetan Plateau. International Journal of Climatology, 41(7): 3994−4018. DOI:  10.1002/joc.7055.
    McSweeney CF, Jones RG, Lee RW. et al. 2015. Selecting CMIP5 GCMs for downscaling over multiple regions. Clim Dyn, 44: 3237–3260. DOI: 10.1007/s00382-014-2418-8
    Mohammad OI, Laheab A, Al-Maliki. 2014. Evaluation of suitability of drainage water of Al-Hussainia sector (Kut-Iraq) for irrigation. Wasit Journal of Engineering Sciences, 2(1): 30−45. DOI:  10.31185/ejuow.Vol2.Iss1.22.
    Mohammed ZM, Hassan WH. 2022. Climate change and the projection of future temperature and precipitation in southern Iraq using a LARS-WG model. Modeling Earth Systems and Environment, 8(3): 4205−4218. DOI:  10.1007/s40808-022-01358-x.
    Namdar R, Karami E, Keshavarz M. 2021. Climate change and vulnerability: The case of MENA countries. ISPRS International Journal of Geo-Information, 10(11): 794. DOI:  10.3390/ijgi10110794.
    Nolan P, Flanagan J. 2020. High-resolution climate projections for Ireland–a multi-model ensemble approach. Environmental Protection Agency, 978−991. DOI:  10.13140/RG.2.2.28360.14084.
    Portoghese I, Vurro M, López A. 2015. Assessing the impacts of climate change on water resources: Experiences from the Mediterranean Region.
    Qiu Y, Feng J, Yan Z, et al. 2022. High-resolution dynamical downscaling for regional climate projection in Central Asia based on bias-corrected multiple GCMs. Climate Dynamics, 58(3): 777−791.
    Smirnov O, Lahav G, Orbell J, et al. 2023. Climate change, drought, and potential environmental migration flows under different policy scenarios. International Migration Review, 57(1): 36−67. DOI:  10.1177/01979183221079850.
    Tebaldi C, Knutti R. 2007. The use of the multi-model ensemble in probabilistic climate projections. Philosophical Transactions of the Royal Society A: Mathematical, Physical and Engineering Sciences, 365(1857): 2053-2075. DOI:  10.1098/rsta.2007.2076.
    Walton DB, Berg N, Pierce D, et al. 2020. Understanding differences in California Climate Projections produced by dynamical and statistical downscaling. Journal of Geophysical Research: Atmospheres, 125.
    Wang JL, Moore JC, Zhao L, et al. 2022. Regional dynamical and statistical downscaling temperature, humidity and wind speed for the Beijing region under stratospheric aerosol injection geoengineering. Earth System Dynamics, 13(4): 1625-1640.
    Wilcke RAI, Bärring L. 2016. Selecting regional climate scenarios for impact modelling studies. Environmental Modelling & Software, 78: 191−201. DOI:  10.1016/j.envsoft.2016.01.002.
    Wu J, Han Z, Li R, et al. 2020. Changes of extreme climate events and related risk exposures in Huang‐Huai‐Hai river basin under 1. 5–2°C global warming targets based on high resolution combined dynamical and statistical downscaling dataset. International Journal of Climatology, 41: 1383−1401.
    Yildiz S, Islam HMT, Rashid T, et al. 2024. Exploring climate change effects on drought patterns in Bangladesh using Bias-Corrected CMIP6 GCMs. Earth Systems and Environment, 8(1): 21−43. DOI:  10.1007/s41748-023-00362-0.
  • 2305-7068/© Journal of Groundwater Science and Engineering Editorial Office. This is an open access article under the CC BY-NC-ND license (http://creativecommons.org/licenses/by-nc-nd/4.0)

  • Relative Articles

    [1] Hayder H. Kareem, Shahla Abdulqader Nassrullah, 2025: Impact of climate changes on Arizona State precipitation patterns using high-resolution climatic gridded datasets, Journal of Groundwater Science and Engineering, 13, 34-46.  doi: 10.26599/JGSE.2025.9280037
    [2] Sulistiani, Rachmat Fajar Lubis, I Putu Santikayasa, Muh. Taufik, Gumilar Utamas Nugraha, 2025: Groundwater recharge modeling with integration of land use/land cover and climate change projections in Surakarta City, Indonesia, Journal of Groundwater Science and Engineering, 13, 352-370.  doi: 10.26599/JGSE.2025.9280059
    [3] Hanane Mebarki, Noureddine Maref, Mohammed El-Amine Dris, 2024: Modelling the monthly hydrological balance using Soil and Water Assessment Tool (SWAT) model: A case study of the Wadi Mina upstream watershed, Journal of Groundwater Science and Engineering, 12, 161-177.  doi: 10.26599/JGSE.2024.9280013
    [4] Shu-hong Song, Zhen-long Nie, Xin-xin Geng, Xue Shen, Zhe Wang, Pu-cheng Zhu, 2023: Response of runoff to climate change in the area of runoff yield in upstream Shiyang River Basin, Northwest China: A case study of the Xiying River, Journal of Groundwater Science and Engineering, 11, 89-96.  doi: 10.26599/JGSE.2023.9280009
    [5] Muhammad Irfan, Sri Safrina, Erry Koriyanti, Netty Kurniawati, Khairul Saleh, Iskhaq Iskandar, 2023: Effects of climate anomaly on rainfall, groundwater depth, and soil moisture on peatlands in South Sumatra, Indonesia, Journal of Groundwater Science and Engineering, 11, 81-88.  doi: 10.26599/JGSE.2023.9280008
    [6] Liang Zhu, Ming-nan Yang, Jing-tao Liu, Yu-xi Zhang, Xi Chen, Bing Zhou, 2022: Evolution of the freeze-thaw cycles in the source region of the Yellow River under the influence of climate change and its hydrological effects, Journal of Groundwater Science and Engineering, 10, 322-334.  doi: 10.19637/j.cnki.2305-7068.2022.04.002
    [7] Habtamu Semunigus Demisse, Abebe Temesgen Ayalew, Melkamu Teshome Ayana, Tarun Kumar Lohani, 2021: Extenuating the parameters using HEC-HMS hydrological model for ungauged catchment in the central Omo-Gibe Basin of Ethiopia, Journal of Groundwater Science and Engineering, 9, 317-325.  doi: 10.19637/j.cnki.2305-7068.2021.04.005
    [8] Abdelhakim LAHJOUJ, Abdellah EL HMAIDI, Karima BOUHAFA, 2020: Spatial and statistical assessment of nitrate contamination in groundwater: Case of Sais Basin, Morocco, Journal of Groundwater Science and Engineering, 8, 143-157.  doi: 10.19637/j.cnki.2305-7068.2020.02.006
    [9] ZHU Yu-chen, ZHANG Yi-long, HAO Qi-chen, 2017: Assessment of shallow groundwater vulnerability in Dahei River Plain based on AHP and DRASTIC, Journal of Groundwater Science and Engineering, 5, 266-277.
    [10] SHANG Man-ting, LIU Pei-gui, LEI Chao, LIU Ming-chao, WU Liang, 2017: Effect of climate change on the trends of evaporation of phreatic water from bare soil in Huaibei Plain, China, Journal of Groundwater Science and Engineering, 5, 213-221.
    [11] Khongsab Somphone, OunakoneKone Xayviliya, 2017: Climate change and groundwater resources in Lao PDR, Journal of Groundwater Science and Engineering, 5, 53-58.
    [12] Ramasamy Jayakumar, Eunhee Lee, 2017: Climate change and groundwater conditions in the Mekong Region–A review, Journal of Groundwater Science and Engineering, 5, 14-30.
    [13] Duong D Bui, Nghia C Nguyen, Nuong T Bui, Anh T T Le, Dao T Le, 2017: Climate change and groundwater resources in Mekong Delta, Vietnam, Journal of Groundwater Science and Engineering, 5, 76-90.
    [14] SRISUK Kriengsak, NETTASANA Tussanee, 2017: Climate change and groundwater resources in Thailand, Journal of Groundwater Science and Engineering, 5, 67-75.
    [15] Than Zaw, Maung Maung Than, 2017: Climate change and groundwater resources in Myanmar, Journal of Groundwater Science and Engineering, 5, 59-66.
    [16] BAI Bing, CHENG Yan-pei, JIANG Zhong-cheng, ZHANG Cheng, 2017: Climate change and groundwater resources in China, Journal of Groundwater Science and Engineering, 5, 44-52.
    [17] Chamroeun SOK, Sokuntheara CHOUP, 2017: Climate change and groundwater resources in Cambodia, Journal of Groundwater Science and Engineering, 5, 31-43.
    [18] Liang ZHU, Wei-dong KANG, Ji-chao SUN, Jing-tao LIU, 2014: Quantitative Calculation of Groundwater Vulnerability Assessment Based on Quantification Theory III, Journal of Groundwater Science and Engineering, 2, 78-85.
    [19] CHEN Qu, 2014: Anticipatory Adaptation Approaches to Climate Change--A Review and Discussion of Southern Australia’s Sustainable Water Management and Its Strategies and Shortcomings, Journal of Groundwater Science and Engineering, 2, 54-61.
    [20] Cheng Yanpei, Ma Renhui, 2013: Analysis of Water Resource Demands: Based on the Hydrological Unit, Journal of Groundwater Science and Engineering, 1, 48-59.
  • 加载中

Catalog

    Figures(15)  / Tables(5)

    Article Metrics

    Article views (625) PDF downloads(31) Cited by()
    Proportional views
    Related

    /

    DownLoad:  Full-Size Img  PowerPoint
    Return
    Return