• pISSN 2305-7068
  • eISSN 2097-7476
  • Indexed by ESCI CABI CAS
  • DOAJ EBSCO ProQuest Scopus GeoRef AJ CNKI
Advanced Search
Volume 14 Issue 2
Jun.  2026
Turn off MathJax
Article Contents
Azizi M, Najafimood MH, Akbarpour A, et al. 2026. The effect of beach slope variation on saltwater intrusion dynamics in the unconfined coastal aquifer (experimental and numerical). Journal of Groundwater Science and Engineering, 14(2): 165-187 doi:  10.26599/JGSE.2026.9280077
Citation: Azizi M, Najafimood MH, Akbarpour A, et al. 2026. The effect of beach slope variation on saltwater intrusion dynamics in the unconfined coastal aquifer (experimental and numerical). Journal of Groundwater Science and Engineering, 14(2): 165-187 doi:  10.26599/JGSE.2026.9280077

The effect of beach slope variation on saltwater intrusion dynamics in the unconfined coastal aquifer (experimental and numerical)

doi: 10.26599/JGSE.2026.9280077
More Information
  • Corresponding author: akbarpour@birjand.ac.ir
  • Received Date: 2024-11-14
  • Accepted Date: 2025-12-19
  • Available Online: 2026-04-30
  • Publish Date: 2026-06-30
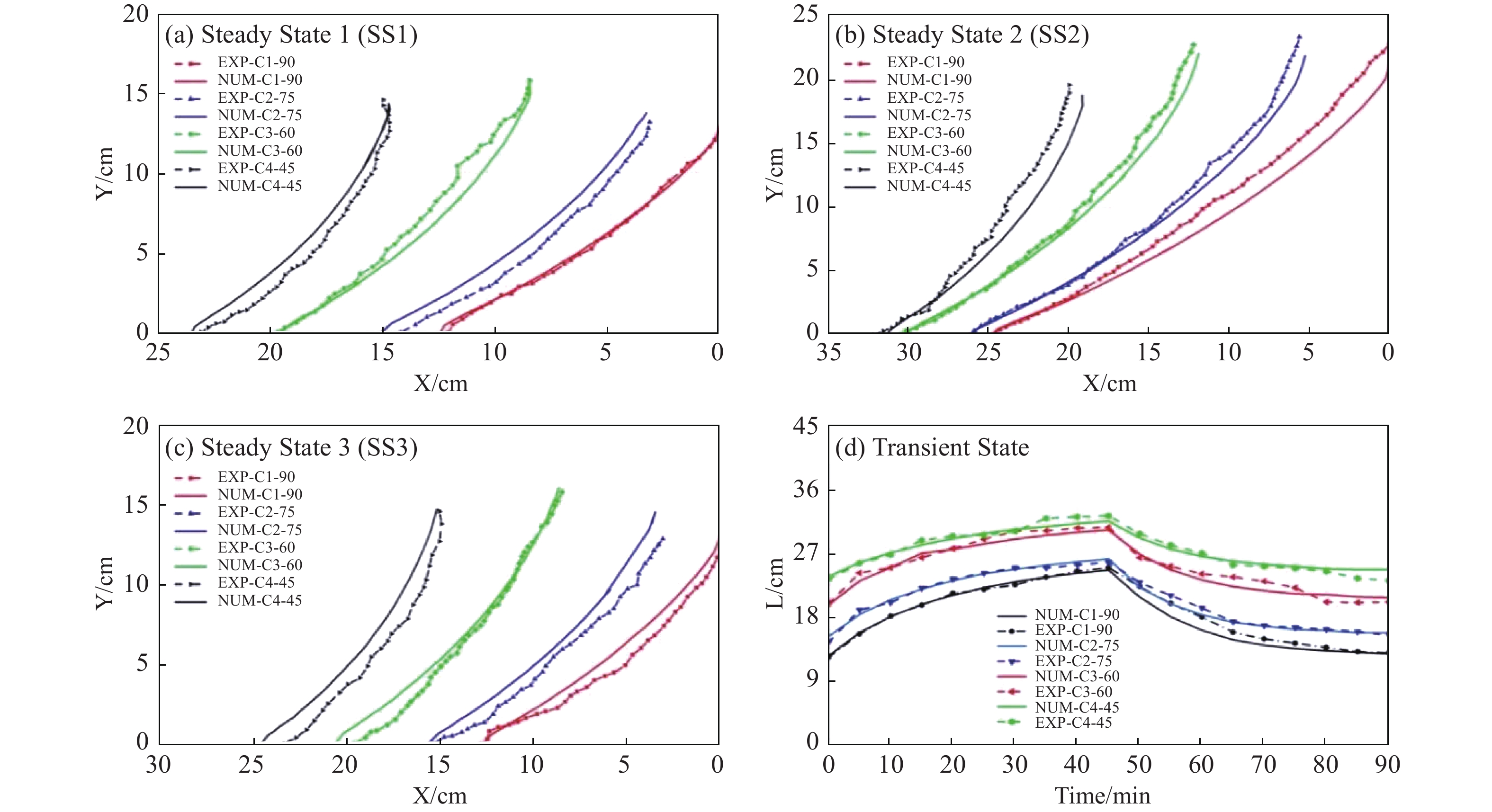
  • Over-exploitation of groundwater resources often causes seawater to intrude into coastal aquifers. This study aims to evaluate how different beach slopes (90°, 75°, 60°, and 45°) affect the extent and behavior of seawater intrusion in unconfined coastal aquifers under transient conditions. A three-dimensional laboratory model was constructed to simulate seawater intrusion under varying beach slopes. Experimental data were analyzed using image processing techniques, and results were validated using the SEAWAT numerical model. Key parameters—including wedge toe length, height, and area—were measured over time to assess the transient response of the saltwater wedge. The results showed that under static conditions, flatter slopes produced larger saltwater wedges. During transient conditions following a groundwater-level decline, the wedge toe advanced approximately 57% further in the vertical slope than in the 45° slope, while the final wedge size remained smaller on the steeper beach. The wedge height stabilized earlier than the toe length and area during intrusion, whereas in the recession stage, all three indices reached equilibrium almost simultaneously. The geometry of the beach slope has a significant effect on both the extent and temporal behavior of seawater intrusion. The toe length index showed a strong relationship with wedge area and can serve as a reliable indicator of intrusion volume under both steady and transient conditions. These findings emphasize the importance of considering beach slope in the design and management of coastal aquifer systems. Understanding how slope geometry influences the evolution of the saltwater wedge can improve the prediction and control of seawater intrusion in response to groundwater-level fluctuations.
  • 加载中
  • Abarca E, Carrera J, Sanchez-Vila X, et al. 2007. Quasi-horizontal circulation cells in 3D seawater intrusion. Journal of Hydrology, 339: 118−129. DOI:  10.1016/j.jhydrol.2007.02.017.
    Abd-Elaty I, Polemio M. 2023. Saltwater intrusion management at different coastal aquifers bed slopes considering sea level rise and reduction in fresh groundwater storage. Stochastic Environmental Research and Risk Assessment, 37: 2083−2098. DOI:  10.1007/s00477-023-02381-9.
    Abdelgawad AM, Abdoulhalik A, Ahmed AA, et al. 2018. Transient investigation of the critical pumping rate in a laboratory-scale coastal aquifer. Water Resources Management, 32: 3563−3577. DOI:  10.1007/s11269-018-1988-3.
    Abd-Elhamid HF, Javadi AA. 2011. A cost-effective method to control seawater intrusion in coastal aquifers. Water Resources Management, 25: 2755−2780. DOI:  10.1007/s11269-011-9837-7.
    Abd-Elhamid HF, Sherif MM. 2020. Effects of aquifer bed slope and sea level on saltwater intrusion in coastal aquifers. Hydrology, 7(1): 5. DOI:  10.3390/hydrology7010005.
    Abdoulhalik A, Ahmed A, Abdelgawad A, et al. 2022. The impact of a low-permeability upper layer on transient seawater intrusion in coastal aquifers. Journal of Environmental Management, 307: 114602. DOI:  10.1016/j.jenvman.2022.114602.
    Abdoulhalik A, Ahmed AA. 2017a. The effectiveness of cutoff walls to control saltwater intrusion in multi-layered coastal aquifers: Experimental and numerical study. Journal of Environment Management, 199: 62−73. DOI:  10.1016/j.jenvman.2017.05.040.
    Abdoulhalik A, Ahmed AA. 2017b. Transient investigation of saltwater upconing in a laboratory-scale coastal aquifer. Estuarine Coastal and Shelf Science, 214: 149−160. DOI:  10.1016/j.ecss.2018.09.024.
    Ataie-Ashtiani B, Volker RE, Lockington DA. 1999. Tidal effects on sea water intrusion in unconfined aquifers. Journal of Hydrology, 216: 17−31. DOI:  10.1016/S0022-1694(98)00275-3.
    Ataie-Ashtiani B, Werner A, Simmons C, et al. 2013. How important is the impact of land surface inundation on seawater intrusion caused by sea-level rise? Hydrogeology Journal, 21: 1673−1677. DOI:  10.1007/s10040-013-1021-0.
    Cao X, Li Y, Wang Z, et al. 2024. Experimental and SEAWAT numerical study on seawater intrusion patterns in relation to beach slope and sea-level changes. Water, 16(3457): 1−15.
    Chang SW, Clement TP. 2012. Experimental and numerical investigation of saltwater intrusion dynamics in flux-controlled groundwater systems. Water Resources Management, 48: 1−10. DOI:  10.1029/2012WR012134.
    Cheng ZS, Su C, Wang WZ, et al. 2026. Hydrogeological flow patterns and hydrochemical driving forces of groundwater in a typical coastal hilly region of the Jinjiang watershed, Southeast China: Recommendations for water pollution control and management. China Geology, 9(2): 1−17. DOI:  10.31035/cg2024185.
    Dalai C, Dhar A. 2023. Impact of beach face slope variation on saltwater intrusion dynamics in the unconfined aquifer under tidal boundary conditions. Flow Measurement and Instrumentation, 89: 102298. DOI:  10.1016/j.flowmeasinst.2022.102298.
    Dalai C, Munusamy SB, Dhar A. 2020. Experimental and numerical investigation of saltwater intrusion dynamics on sloping sandy beach under static seaside boundary condition. Flow Measurement and Instrumentation, 75: 101794. DOI:  10.1016/j.flowmeasinst.2020.101794
    Deng B, Zhang W, Yao Y, et al. 2022. A laboratory study of the effect of varying beach slopes on bore-driven swash hydrodynamics. Frontiers in Marine Science, 9: 956379. DOI:  10.3389/fmars.2022.956379.
    Fang Y, Zheng T, Wang H, et al. 2021. Experimental and numerical evidence on the influence of tidal activity on the effectiveness of subsurface dams. Journal of Hydrology, 603: 127149. DOI:  10.1016/j.jhydrol.2021.127149.
    Flowers TC, Hunt JR. 2007. Viscous and gravitational contributions to mixing during vertical brine transport in water-saturated porous media. Water Resources Management, 43(1): W01407. DOI:  10.1029/2005WR004773.
    Goswami RR, Clement TP. 2007. Laboratory‐scale investigation of saltwater intrusion dynamics. Water Resources Management, 43(4): W04418. DOI:  10.1029/2006WR005151.
    Gao C, Kong J, Wang J, et al. 2023. Combined effect of subsurface dam and layered heterogeneity on groundwater flow and salinity distribution in stratified coastal aquifers. Acta Oceanologica Sinica, 42(8): 49−60. DOI:  10.1007/s13131-023-2255-x.
    Guo W, Bennett GD. 1998. SEAWAT version 1.1: A computer program for simulation of groundwater flow of variable density. Missimer International Inc, Fort Myers.
    Johannsen K, Kinzelbach W, Oswald S, et al. 2002. The salt-pool benchmark problem Numerical simulation of saltwater upconing in a porous medium. Advances in Water Resources, 25(3): 335 – 348.
    Kolditz O, Görke UJ, Shao H, et al. 2016. Thermo-Hydro-Mechanical chemical processes in fractured porous media: Modelling and benchmarking. Springer International Publishing. DOI:  10.1007/978-3-319-29224-3
    Li FL, Chen XQ, Liu CH, et al. 2018. Laboratory tests and numerical simulations on the impact of subsurface barriers to saltwater intrusion. Natural Hazards, 91: 1223−1235. DOI:  10.1007/s11069-018-3176-4.
    Liu Y, Shang SH, Mao XM. 2012. Tidal effects on groundwater dynamics in coastal aquifer under different beach slopes. Journal of Hydrodynamics, 24: 97−106. DOI:  10.1016/S1001-6058(11)60223-0.
    Lu C, Xin P, Kong J, et al. 2016. Analytical solutions of seawater intrusion in sloping confined and unconfined coastal aquifers. Water Resources Research, 52(9): 6989−7004. DOI:  10.1002/2016WR019101.
    Lyu P, Song J, Wu J, et al. 2021. A numerical simulation study for controlling seawater intrusion by using hydraulic and physical barriers. Hydrogeology and Engineering Geology, 48(4): 32−40. (in Chinese) DOI:  10.16030/j.cnki.issn.1000-3665.202007068.
    Mazi K, Koussis AD, Destouni G. 2013. Tipping points for seawater intrusion in coastal aquifers under rising sea level. Environmental Research Letters, 8(1): 1−6. DOI:  10.1088/1748-9326/8/1/014001.
    Nam B, Solorzano-Rivas C, Jazayeri A, et al. 2025. Tidal, freshwater-saltwater interactions: Three-dimensional sand-tank experiments. Journal of Hydrology, 653: 132696. DOI:  10.1016/j.jhydrol.2025.132696.
    Narayanan D, Eldho TI. 2025. Investigations on the saline groundwater pumping method and its impact on active saltwater intrusion on a layered aquifer system. Journal of Environmental Management, 373: 123747. DOI:  10.1016/j.jenvman.2024.123747.
    Noorabadi S, Sadraddini AA, Nazemi AH, et al. 2017. Laboratory and numerical investigation of saltwater intrusion into aquifers. Journal of Materials and Environmental Science, 8(12): 4273−4283. DOI:  10.26872/jmes.2017.8.12.450.
    Oswald SE, Kinzelbach W. 2004. Three-dimensional physical benchmark experiments to test variable-density flow models. Journal of Hydrology, 290: 22−42. DOI:  10.1016/j.jhydrol.2003.11.037.
    Rezapour AB, Saghravani SFA, Ahmadifard AR. 2018. Studying the phenomenon of saltwater inflow to coastal aquifers in transient conditions using image processing and numerical modeling. Journal of Iranian Hydraulic Association.
    Robinson G, Hamill G, Ahmed AA. 2015. Automated image analysis for experimental investigations of salt water intrusion in coastal aquifers. Journal of Hydrology, 530: 350−360. DOI:  10.1016/j.jhydrol.2015.09.046.
    Schotting RJ, Moser H, Hassanizadeh SM. 1999. High-concentration-gradient dispersion in porous media: Experiments, analysis and approximations. Advances in Water Resources, 22(7): 665−680. DOI:  10.1016/S0309-1708(98)00052-9.
    Sharma V, Chakma S. 2024. Experimental investigation to check the feasibility of an under-surface barrier for stratified layers to remediate seawater intrusion considering an inclined boundary. Journal of Hydrology, 636: 131283. DOI:  10.1016/j.jhydrol.2024.131283.
    Shen Y, Xin P, Yu X. 2020. Combined effect of cutoff wall and tides on groundwater flow and salinity distribution in coastal unconfined aquifers. Journal of Hydrology, 581: 124444. DOI:  10.1016/j.jhydrol.2019.124444.
    Voss C, Provost A. 2010. SUTRA—a Model for saturated–unsaturated, variable density, Ground-water flow with Solute or energy transport. US Geological Survey Water-Resources Investigations Report, 02-4231.
    Voss CI, Souza WR. 1987. Variable density flow and solute transport simulation of regional aquifers containing a narrow freshwater-saltwater transition zone. Water Resource Research, 23(10): 1851−1866. DOI:  10.1029/WR023i010p01851.
    Walther M, Graf T, Kolditz O, et al. 2017. How significant is the slope of the sea-side boundary for modelling seawater intrusion in coastal aquifers? Journal of Hydrology, 551: 648−659. DOI:  10.1016/j.jhydrol.2017.02.031.
    Wang F, Li JF, Shi PX, et al. 2019. The impact of sea-level rise on the coast of Tianjin-Hebei, China. China Geology, 2(1): 26−39. DOI:  10.31035/cg2018061.
    Wang J, Guo Z, Tian Y, et al. 2022. Development and application of sea water intrusion models. Hydrogeology and Engineering Geology, 49(2): 184−194. (in Chinese) DOI:  10.16030/j.cnki.issn.1000-3665.202105037.
    Watson SJ, Barry DA, Schotting RJ, et al. 2002. Validation of classical density dependent solute transport theory for stable, high-concentration-gradient brine displacements in coarse and medium sands. Advance in Water Resource, 25(6): 611−635. DOI:  10.1016/S0309-1708(02)00022-2.
    Werner AD, Bakker M, Post VE, et al. 2013. Seawater intrusion processes, investigation, and management: Recent advances and future challenges. Advance in Water Resource, 51: 3−26. DOI:  10.1016/j.advwatres.2012.03.004.
    Yang X, Cao H, Werner AD, et al. 2024. Experimental and numerical investigation of the effect of air injection on seawater intrusion mitigation. Journal of Hydrology, 642: 131850. DOI:  10.1016/j.jhydrol.2024.131850.
    Ye Y, Tang T, Xie Y, et al. 2025. Saltwater intrusion in estuarine aquifers through tidal river-groundwater interactions: Three-dimensional experiments and fully-coupled numerical simulations. Journal of Hydrology, 659: 133281. DOI:  10.1016/j.jhydrol.2025.133281.
    Yu X, He L, Yao R, et al. 2024. Effects of beach nourishment on seawater intrusion in layered heterogeneous aquifers. Journal of Hydrology, 633: 131018. DOI:  10.1016/j.jhydrol.2024.131018.
    Zhang Q, Volker RE, Lockington DA. 2002. Experimental investigation of contaminant transport in coastal groundwater. Advance in Environment Research, 6(3): 229−237. DOI:  10.1016/S1093-0191(01)00054-5.
    Zhao S, Su X, Zhang W. 2025. Numerical simulation of thermal effects on seawater intrusion management by coastal cutoff walls. Journal of Environmental Management, 381: 125262. DOI:  10.1016/j.jenvman.2025.125262.
    Zheng C, Wang PP. 1999. MT3DMS: A modular three-dimensional multispecies transport model for simulation of advection, dispersion, and chemical reactions of contaminants in groundwater systems. Documentation and User's Guide, (No. SERDP991).
  • 2305-7068/© Journal of Groundwater Science and Engineering Editorial Office. This is an open access article under the CC BY-NC-ND license (http://creativecommons.org/licenses/by-nc-nd/4.0)

  • Relative Articles

    [1] Se Chai, Jiang-zhou Xia, Yong-hong Hao, Cui-ting Qi, Juan Zhang, Yang Chen, Hui-feng Yang, 2026: Estimating evapotranspiration at high spatio-temporal resolution based on the Bayesian model averaging method in Baoding Plain, China, Journal of Groundwater Science and Engineering, 14, 233-251.  doi: 10.26599/JGSE.2026.9280081
    [2] Sepideh Zeraati Neyshabouri, Abbas Khashei-Siuki, Mohammad Ghasem Akbari, 2026: A state-of-the-art Fuzzy Nonlinear Additive Regression (FNAR) model for groundwater level prediction, Journal of Groundwater Science and Engineering, 14, 83-99.  doi: 10.26599/JGSE.2026.9280074
    [3] Jian-feng Li, Yuan-jing Zhang, Ya-ci Liu, Qi-chen Hao, Chun-lei Liu, Sheng-wei Cao, Zheng-hong Li, 2026: Application of the DITAPH model coupling human activities and groundwater dynamics for nitrate vulnerability assessment: A case study in Quanzhou, China, Journal of Groundwater Science and Engineering, 14, 32-48.  doi: 10.26599/JGSE.2026.9280069
    [4] Md. Hossain Ali, 2025: Development of a model to estimate groundwater recharge, Journal of Groundwater Science and Engineering, 13, 406-422.  doi: 10.26599/JGSE.2025.9280062
    [5] Asaad M. Armanuos, Mohamed Selmy, Hewida Omara, Bakenaz A. Zeidan, Sobhy R. Emara, 2025: Web-based tool for analyzing the seawater-freshwater interface using analytical solutions and SEAWAT code comparison, Journal of Groundwater Science and Engineering, 13, 250-267.  doi: 10.26599/JGSE.2025.9280053
    [6] Chun-lei Liu, Chen-ming Lu, Ya-song Li, Qi-chen Hao, Sheng-wei Cao, 2022: Genetic model and exploration target area of geothermal resources in Hongtang Area, Xiamen, China, Journal of Groundwater Science and Engineering, 10, 128-137.  doi: 10.19637/j.cnki.2305-7068.2022.02.003
    [7] Wondmagegn Taye Abebe, 2022: Evaluation of groundwater resource potential by using water balance model: A case of Upper Gilgel Gibe Watershed, Ethiopia, Journal of Groundwater Science and Engineering, 10, 209-222.  doi: 10.19637/j.cnki.2305-7068.2022.03.001
    [8] Hao ZHOU, Yong WU, Feng HUANG, Xue-fang TANG, 2021: Experimental simulation and dynamic model analysis of Cadmium (Cd) release in soil affected by rainfall leaching in a coal-mining area, Journal of Groundwater Science and Engineering, 9, 65-72.  doi: 10.19637/j.cnki.2305-7068.2021.01.006
    [9] Habtamu Semunigus Demisse, Abebe Temesgen Ayalew, Melkamu Teshome Ayana, Tarun Kumar Lohani, 2021: Extenuating the parameters using HEC-HMS hydrological model for ungauged catchment in the central Omo-Gibe Basin of Ethiopia, Journal of Groundwater Science and Engineering, 9, 317-325.  doi: 10.19637/j.cnki.2305-7068.2021.04.005
    [10] Chun-lei GUI, Zhen-xing WANG, Rong MA, Xue-feng ZUO, 2021: Aquifer hydraulic conductivity prediction via coupling model of MCMC-ANN, Journal of Groundwater Science and Engineering, 9, 1-11.  doi: 10.19637/j.cnki.2305-7068.2021.01.001
    [11] ZHAO Yue-wen, WANG Xiu-yan, LIU Chang-li, LI Bing-yan, 2020: Finite-difference model of land subsidence caused by cluster loads in Zhengzhou, China, Journal of Groundwater Science and Engineering, 8, 43-56.  doi: 10.19637/j.cnki.2305-7068.2020.01.005
    [12] Muhammad Juandi, 2020: Water sustainability model for estimation of groundwater availability in Kemuning district, Riau-Indonesia, Journal of Groundwater Science and Engineering, 8, 20-29.  doi: 10.19637/j.cnki.2305-7068.2020.01.003
    [13] ZHONG Hua-ping, WU Yong-xiang, 2020: State of seawater intrusion and its adaptive management countermeasures in Longkou City of China, Journal of Groundwater Science and Engineering, 8, 30-42.  doi: 10.19637/j.cnki.2305-7068.2020.01.004
    [14] SOSI Benjamin, BARONGO Justus, GETABU Albert, MAOBE Samson, 2019: Electrical-hydraulic conductivity model for a weathered-fractured aquifer system of Olbanita, Lower Baringo Basin, Kenya Rift, Journal of Groundwater Science and Engineering, 7, 360-372.  doi: DOI: 10.19637/j.cnki.2305-7068.2019.04.007
    [15] MENG Yong-hui, WANG Ji-ning, YU De-Jie, ZHANG Li-xia, FENG Zai-min, YAN Tang, ZHOU Yong, 2019: Effect of saltwater intrusion on groundwater environment in Weihe River downstream, Shandong Province, China, Journal of Groundwater Science and Engineering, 7, 245-252.  doi: DOI: 10.19637/j.cnki.2305-7068.2019.03.005
    [16] T K G P Ranasinghe, R U K Piyadasa, 2019: Visualizing the spatial water quality of Bentota, Sri Lanka in the presence of seawater intrusion, Journal of Groundwater Science and Engineering, 7, 340-353.  doi: DOI: 10.19637/j.cnki.2305-7068.2019.04.005
    [17] WANG Ji-ning, MENG Yong-hui, 2016: Characteristics analysis and model prediction of sea-salt water intrusion in lower reaches of the Weihe River, Shandong Province, China, Journal of Groundwater Science and Engineering, 4, 149-156.
    [18] LIU Hong-wei, Klaus Hisby, ZHOU Yang-xiao, MA Zhen, CHEN She-ming, GUO Xu, 2016: Features and evaluation of sea/saltwater intrusion in southern Laizhou Bay, Journal of Groundwater Science and Engineering, 4, 141-148.
    [19] LU Chuan, LI Long, LIU Yan-guang, WANG Gui-ling, 2014: Capillary Pressure and Relative Permeability Model Uncertainties in Simulations of Geological CO2 Sequestration, Journal of Groundwater Science and Engineering, 2, 1-17.
    [20] GAO Zong-jun, ZHU Zhen-hui, LIU Xiao-di, XU Yan-lan, 2014: The Formation and Model of High Fluoride Groundwater and In-situ Dispelling Fluoride Assumption in Gaomi City of Shandong Province, Journal of Groundwater Science and Engineering, 2, 34-39.
  • 加载中

Catalog

    Figures(18)  / Tables(4)

    Article Metrics

    Article views (996) PDF downloads(10) Cited by()
    Proportional views
    Related

    /

    DownLoad:  Full-Size Img  PowerPoint
    Return
    Return