• pISSN 2305-7068
  • eISSN 2097-7476
  • Indexed by ESCI CABI CAS
  • DOAJ EBSCO ProQuest Scopus GeoRef AJ CNKI
Advanced Search
Volume 14 Issue 2
Jun.  2026
Turn off MathJax
Article Contents
Zhang XC, Li ML, Chen LW, et al. 2026. Water control structure of loess plateau fill slopes: Composite of low-permeability interbedded strata and anti-erosion surface layer. Journal of Groundwater Science and Engineering, 14(2): 213-232 doi:  10.26599/JGSE.2026.9280080
Citation: Zhang XC, Li ML, Chen LW, et al. 2026. Water control structure of loess plateau fill slopes: Composite of low-permeability interbedded strata and anti-erosion surface layer. Journal of Groundwater Science and Engineering, 14(2): 213-232 doi:  10.26599/JGSE.2026.9280080

Water control structure of loess plateau fill slopes: Composite of low-permeability interbedded strata and anti-erosion surface layer

doi: 10.26599/JGSE.2026.9280080
More Information
  • Corresponding author: limingli18@cdut.edu.cn
  • Received Date: 2025-04-03
  • Accepted Date: 2026-01-24
  • Available Online: 2026-04-30
  • Publish Date: 2026-06-30
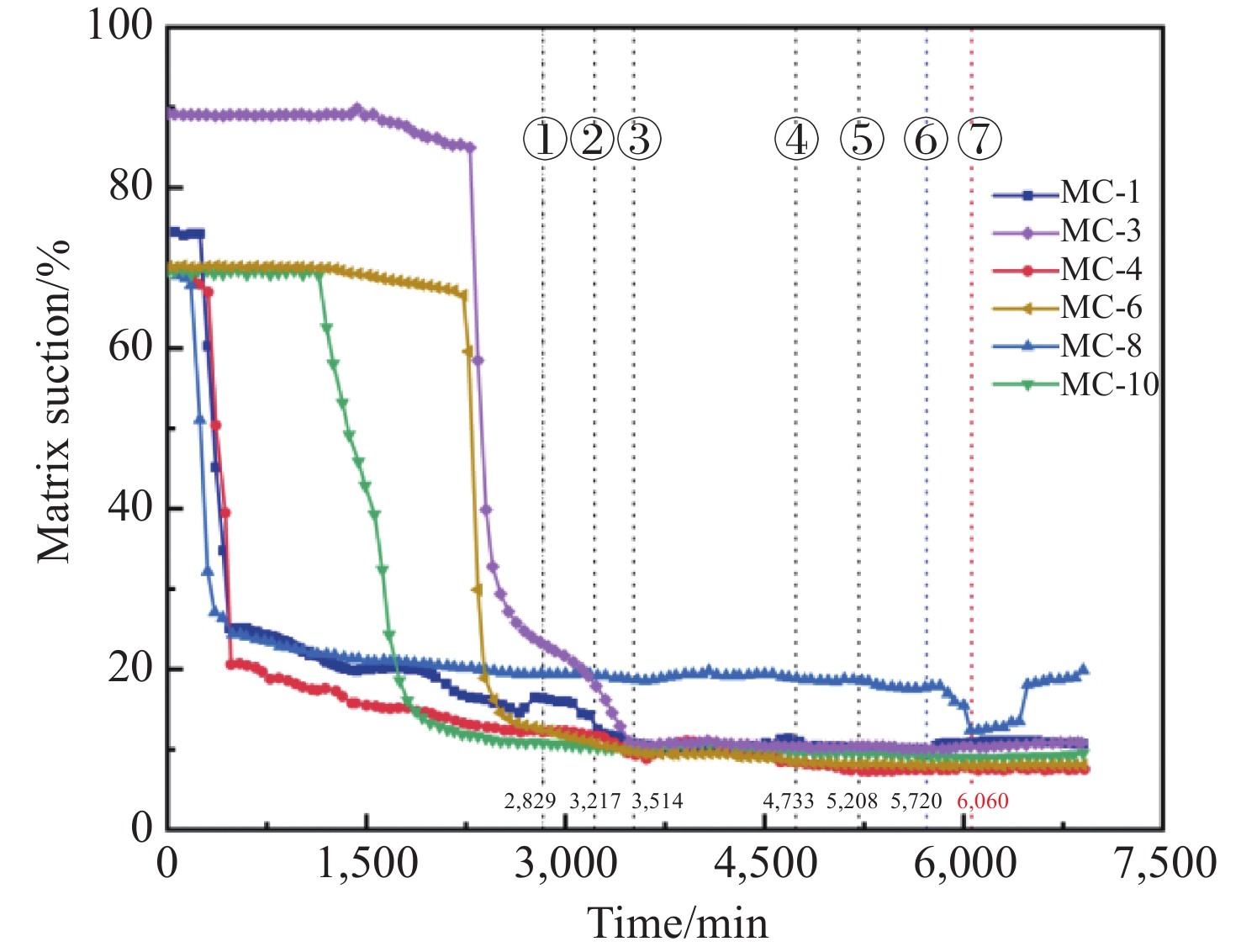
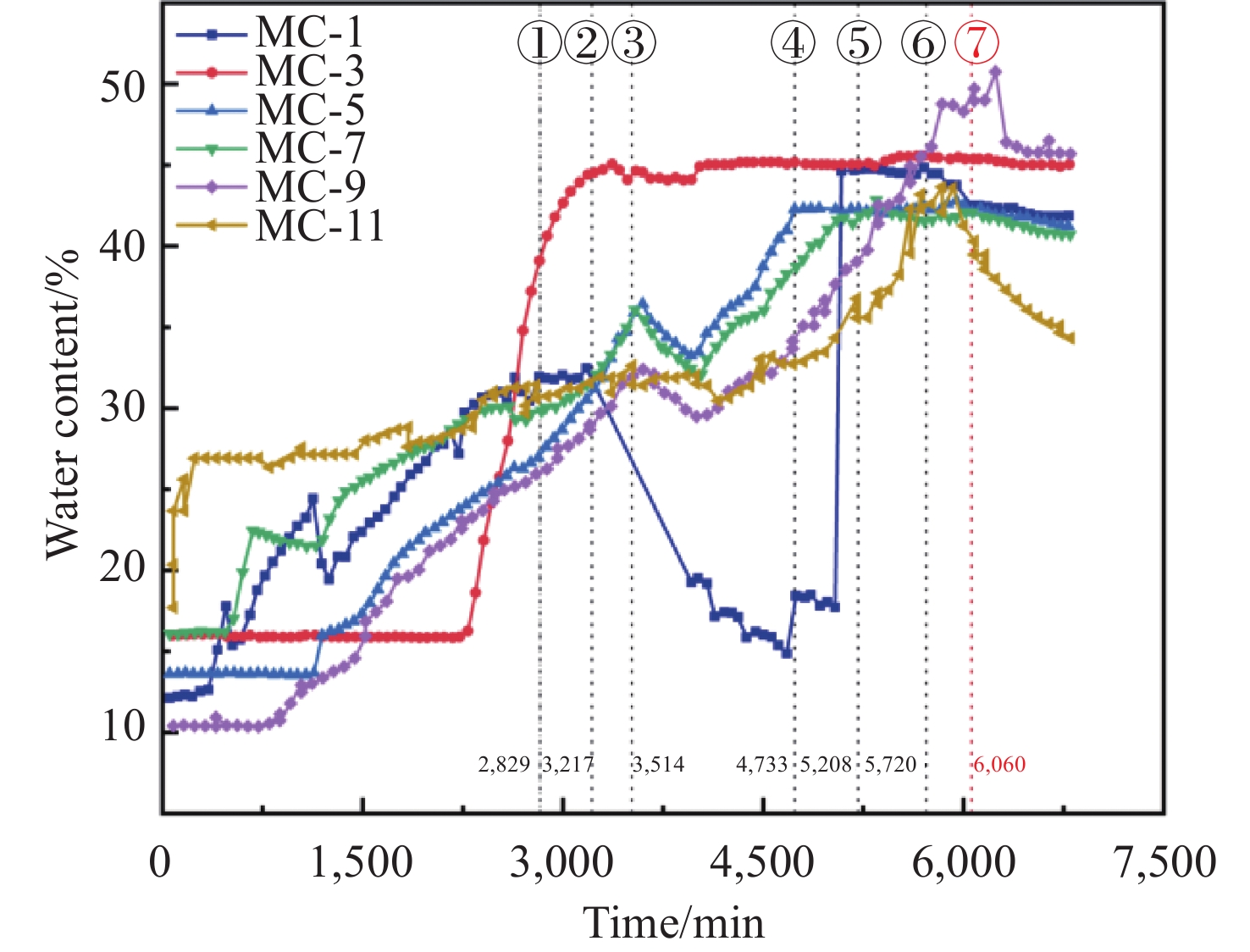
  • The extensive fill engineering slopes formed by major projects such as "managing the ditch and creating land" in the Loess Plateau region face severe challenges of rainfall-induced instability. Inspired by the self-stable structure of natural loess-paleosol sequences and the Nature-based Solutions (NbS) concept, the water-control structure for loess fill slopes was propose, which is a composite of erosion-resistant surface layer (modified cellulose-treated) and low-permeability layers (mimicking paleosol properties using lime-improved loess). Indoor soil mechanics tests (liquid/plastic limits, compaction, permeability, shear strength) and Scanning Electron Microscopy (SEM) analysis revealed that both modified materials significantly enhance soil strength and reduce permeability (e.g., lime treatment reduced saturated permeability by 95.18%). Artificial rainfall model experiments demonstrated that slopes with water—control structure exhibit delayed infiltration response (up to 1,565 minutes), reduced erosion volume (71.6% less than untreated slopes), and shifted failure modes from fluidized collapse to gradual shear-slip. Numerical simulations (GeoStudio) further optimized the low-permeability layer configuration, identifying a 3 m-thick, 2°-inclined layer as optimal for maximizing stability. This study reveals that the NbS structure effectively regulates rainfall infiltration and erosion processes, significantly reducing erosion volume and altering failure modes. Consequently, the NbS-based water-control structure provides a theoretical basis and key technical support for the prevention and control of instability in loess fill slopes.
  • 加载中
  • Bao H, Liu C, Lan H, et al. 2022. Time-dependency deterioration of polypropylene fiber reinforced soil and guar gum mixed soil in loess cut-slope protecting. Engineering Geology, 311: 106895. DOI:  10.1016/j.enggeo.2022.106895.
    Bauduceau N, Berry P, Cecchi C, et al. 2015. Towards an EU research and innovation policy agenda for nature-based solutions & re-naturing cities. Final report of the Horizon 2020 expert group on nature-based solutions and re-naturing cities. Brussels: 1–70. DOI:  10.2777/765301.
    Chen H, Lee CF, Law KT. 2004. Causative mechanisms of rainfall-induced fill slope failures. Journal of Geotechnical and Geoenvironmental Engineering, 130: 593−602.
    Chen Y, Li P, Wang Y, et al. 2024. Unraveling the mystery of water-induced loess disintegration: A comprehensive review of experimental research. Sustainability, 16(6): 2463. DOI:  10.3390/su16062463.
    Cheng H, Xu R, Wang GL, et al. 2023. Study on the stability of loess high fill slope in Yan'an New Area. Coal Geology of China, 35(10): 52−57. (in Chinese) DOI:  10.3969/j.issn.1674-1803.2023.10.09.
    Derbyshire E, Dijkstra TA, Smalley IJ, et al. 1994. Failure mechanisms in loess and the effects of moisture content changes on remoulded strength. Quaternary International, 24: 5−15. DOI:  10.1016/1040-6182(94)90032-9.
    Fredlund DG, Morgenstern NR, Widger RA. 1978. The shear strength of unsaturated soils. Canadian Geotechnical Journal, 15: 313−321. DOI:  10.1139/t78-029.
    Gabet EJ, Mudd SM. 2006. The mobilization of debris flows from shallow landslides. Geomorphology, 74: 207−218. DOI:  10.1016/j.geomorph.2005.08.013.
    Gao Y, Qian H, Yang J, et al. 2016. Laboratory test study on permeability of remolded Malan loess. South- and North- Water Transfers and Water Science & Technology, 14: 7. (in Chinese)
    Göksel Türk. 1982. Markov Chain analysis. Mathematical Geosciences, 14: 539−542. DOI:  10.1007/bf01077538.
    Hallstein J, Metzsch - Zilligen E, Pfaendner R. 2024. Long - term thermal stabilization of poly. Lactic Acid, 17(11): 1996−1944. DOI:  10.3390/ma17112761.
    Hungr O, Evans SG, Bovis MJ, et al. 2001. A review of the classification of landslides of the flow type. Environmental and Engineering Geoscience, 7: 221−238. DOI:  10.2113/gseegeosci.7.3.221.
    Jiang Y, Ma Z, Gao Y, et al. A review on the impact of water in accelerated carbonation: Implications for producing sustainable construction materials. Cement and Concrete Composites, 2025, 157. DOI:  10.1016/j.cemconcomp.2024.105902.
    Jiang Y, Hu X, Liang H, et al. 2023. A physically based model for the sequential evolution analysis of rainfall-induced shallow landslides in a catchment. Water Resources Research, 59: e2022WR032716. DOI:  10.1029/2022WR032716.
    Konagai K, Karunawardena A, Bandara K N, et al. 2023. Early warning system against rainfall-induced landslide in Sri Lanka. Progress in Landslide Research and Technology, Cham: Springer International Publishing, 1(1): 217−235.
    Leng Y, Peng J, Wang Q, et al. A fluidized landslide occurred in the Loess Plateau: A study on loess landslide in South Jingyang tableland. Engineering Geology, 2017: 129−136. DOI:  10.1016/j.enggeo.2017.05.006.
    Li HX, Han SB, Wu X, et al. 2021. Distribution, characteristics and influencing factors of fresh groundwater resources in the Loess Plateau, China. China Geology, 4(3): 509−526. DOI:  10.31035/cg2021057.
    Li M, Zhang X, Yang Z, et al. 2020. The rainfall erosion mechanism of high and steep slopes in loess tablelands based on experimental methods and optimized control measures. Bulletin of Engineering Geology and the Environment, 79: 4671−4681. DOI:  10.1007/s10064-020-01854-3.
    Li PY, Li JH, Wu JH, et al. 2024. Effects of loess-paleosol interbedding on soil moisture transport and soil microstructure. Hydrogeology & Engineering Geology, 51(3): 1−11. (in Chinese) DOI:  10.16030/j.cnki.issn.1000-3665.202403039.
    Lu XS, Jiang Y, Wang NQ, et al. 2023. Progressive deformation and failure mechanism of loess fill slopes induce by rainfall: Insights from flume model tests. Bulletin of Engineering Geology and the Environment, 82: 385. DOI:  10.1007/s10064-023-03413-y.
    Ma JL, Wang Q, Zhong XM, et al. 2025. Experimental analysis of rainfall - induced instability and failure patterns in loess fill slopes. Advances in Civil Engineering, 2025(1): 5233914. DOI:  10.1155/adce/5233914.
    Nan J, Peng J, Zhu F, et al. 2021. Multiscale characteristics of the wetting deformation of Malan loess in the Yan'an area, China. Journal of Mountain Science, 18: 1112−1130. DOI:  10.1007/s11629-020-6490-8.
    Peng J, Fan Z, Wu D, et al. 2015. Heavy rainfall triggered loess – mudstone landslide and subsequent debris flow in Tianshui, China. Engineering Geology, 186: 79−90. DOI:  10.1016/j.enggeo.2014.08.015.
    Peng JB, Wang QY, Zhuang JQ, et al. 2020. Dynamic formation mechanism of landslide disaster on the Loess Plateau. International Journal of Geomechanics, 26: 714−730. (in Chinese) DOI:  10.12090/j.issn.1006-6616.2020.26.05.059.
    Ren T, Zhu LJ, Pei X, et al. 2021. Study on compression test and mechanism of double polymer double cross - linked solidified loess. Yellow River, 43(6): 140−144. (in Chinese) DOI:  10.3969/j.issn.1000-1379.2021.06.028.
    Regmi RK, Jung K, Nakagawa H, et al. 2014. Study on mechanism of retrogressive slope failure using artificial rainfall. Catena, 122: 27−41. DOI:  10.1016/j.catena.2014.06.001.
    Tan Wj, Huang QB, Chen X, et al. 2022. Physical model test on the interface of loess fill slope. Land, 11: 372−1372. DOI:  10.3390/land11081372.
    Xiao J, Porter SC, An ZS, et al. 1995. Grain size of quartz as an indicator of winter monsoon strength on the Loess Plateau of Central China during the Last 130, 000 Yr. Quaternary Research, 43: 22−29. DOI:  10.1006/qres.1995.1003.
    Xu Q, Pu CH, Wang XH, et al. 2025. Revealing terrestrial uplift in large-scale land creation areas on the loess plateau using InSAR time series data. Engineering Geology, 347(1): 107946−107946. DOI:  10.1016/j.enggeo.2025.107946.
    Yang, KH, Thuo JN. 2018. Numerical evaluation of reinforced slopes with various backfill-reinforcement-drainage systems subject to rainfall infiltration. Computers and Geotechnics, 102: 218−227. DOI:  10.1016/j.compgeo.2017.10.012.
    Yu FD, Qiao G, Wang K, et al. 2023. Investigation of groundwater characteristics and its influence on Landslides in Heifangtai Plateau using comprehensive geophysical methods. Journal of Groundwater Science and Engineering, 11(2): 171−182. DOI:  10.26599/JGSE.2023.9280015.
    Yu GQ, Wang Q, Zhu LF, et al. 2023. Regulation of vegetation pattern on the hydrodynamic processes of erosion on hillslope in Loess Plateau, China. Journal of Groundwater Science and Engineering, 11(1): 4−19. DOI:  10.26599/JGSE.2023.9280002.
    Zhang H, Hu C, Liu B, et al. 2003. Mechanical properties experiment of compacted loess - lime. Journal of Traffic Transportation Engineering, 3: 13−16.
    Zhang Q, Qian H, Xu P, et al. 2022. Microscale evidence for and formation mechanisms of shear-strength anisotropy of a loess-paleosol sequence since the late Early Pleistocene: The case study of the Xiushidu profile, Southern Chinese loess Plateau. Catena, 213: 106228. DOI:  10.1016/j.catena.2022.106228.
    Zhang S, Zhang X, Pei X, et al. 2019. Model test study on the hydrological mechanisms and early warning thresholds for loess fill slope failure induced by rainfall. Engineering Geology, 258: 105135. DOI:  10.1016/j.enggeo.2019.05.012.
    Zhang X, Zhong Y, Pei X, et al. 2021. A cross - linked polymer soil stabilizer for hillslope conservation on the Loess Plateau. Frontiers in Earth Science, 9: 771316. DOI:  10.3389/feart.2021.771316.
    Zhao ZF, Zhu YP, Ye SH, et al. 2025. Experimental study on the failure characteristics of the loess high slope under the coupled effects of soil consolidation, rainfall, and evaporation. Engineering Failure Analysis, 171: 109383. DOI:  10.1016/j.engfailanal.2025.109383.
    Zhou X, Yan Y, Li Y, et al. 2025. Application of cellulose-rich organic resource improves soil quality and plant growth by recruiting beneficial microorganisms. Applied Soil Ecology, 207: 105909. DOI:  10.1016/j.apsoil.2025.105909.
    Zhu R, Xie W, Liu Q, et al. 2022. Shear behavior of sliding zone soil of loess landslides via ring shear tests in the South Jingyang Plateau. Bulletin of Engineering Geology and the Environment, 81: 267. DOI:  10.1007/s10064-022-02719-7.
  • 2305-7068/© Journal of Groundwater Science and Engineering Editorial Office. This is an open access article under the CC BY-NC-ND license (http://creativecommons.org/licenses/by-nc-nd/4.0)

  • Relative Articles

    [1] Mohsen Azizi, Mohammad Hosein Najafimood, Abolfazl Akbarpour, Abbas Ali Rezapour, 2026: The effect of beach slope variation on saltwater intrusion dynamics in the unconfined coastal aquifer (experimental and numerical), Journal of Groundwater Science and Engineering, 14, 165-187.  doi: 10.26599/JGSE.2026.9280077
    [2] Zai-yong Zhang, Da Xu, Cheng-cheng Gong, Bin Ran, Xue-ke Wang, Wan-yu Zhang, Jun-zuo Pan, 2025: Finite analytic method for simulating water flow using water content-based Richards' equation, Journal of Groundwater Science and Engineering, 13, 147-155.  doi: 10.26599/JGSE.2025.9280045
    [3] Asaad M. Armanuos, Mohamed Selmy, Hewida Omara, Bakenaz A. Zeidan, Sobhy R. Emara, 2025: Web-based tool for analyzing the seawater-freshwater interface using analytical solutions and SEAWAT code comparison, Journal of Groundwater Science and Engineering, 13, 250-267.  doi: 10.26599/JGSE.2025.9280053
    [4] Guo-Qiang Yu, Qian Wang, Li-Feng Zhu, Xia Zhang, 2023: Regulation of vegetation pattern on the hydrodynamic processes of erosion on hillslope in Loess Plateau, China, Journal of Groundwater Science and Engineering, 11, 4-19.  doi: 10.26599/JGSE.2023.9280002
    [5] Chao Song, Man Liu, Qiu-yao Dong, Lin Zhang, Pan Wang, Hong-yun Chen, Rong Ma, 2022: Variation characteristics of CO2 in a newly-excavated soil profile, Chinese Loess Plateau: Excavation-induced ancient soil organic carbon decomposition, Journal of Groundwater Science and Engineering, 10, 19-32.  doi: 10.19637/j.cnki.2305-7068.2022.01.003
    [6] Yu-fei Xi, Ya-bo Zhao, DA Yuen, 2021: Geothermal structure revealed by curie isothermal surface under Guangdong Province, China, Journal of Groundwater Science and Engineering, 9, 114-120.  doi: 10.19637/j.cnki.2305-7068.2021.02.003
    [7] Zhong-shuang Cheng, Chen Su, Zhao-xian Zheng, Zhuang Li, Li-kang Wang, En-bao Wang, 2021: Grain size characteristics and genesis of the Muxing loess in the Muling-Xingkai Plain, Northeast China, Journal of Groundwater Science and Engineering, 9, 152-160.  doi: 10.19637/j.cnki.2305-7068.2021.02.007
    [8] Zhi-yuan LIU, Ding TAN, Zhi-bin CHEN, Yun-fei WEI, Quan CHAI, Xiao-hang CHEN, 2020: Study on multiple induced polarization parameters in groundwater exploration in Bashang poverty alleviation area of Heibei Province, China, Journal of Groundwater Science and Engineering, 8, 274-280.  doi: 10.19637/j.cnki.2305-7068.2020.03.007
    [9] YANG Liu, WEN Xue-ru, WU Xiao-li, PEI Li-xin, YUE Chen, LIU Bing, GUO Si-jia, 2019: Height prediction of water flowing fractured zones based on BP artificial neural network, Journal of Groundwater Science and Engineering, 7, 354-359.  doi: DOI: 10.19637/j.cnki.2305-7068.2019.04.006
    [10] LUO Wei-qun, JIANG Zhong-cheng, YANG Qi-yong, LI Yan-qing, LIANG Jian-hong, 2018: The features of soil erosion and soil leakage in karst peak-cluster areas of Southwest China, Journal of Groundwater Science and Engineering, 6, 18-30.  doi: 10.19637/j.cnki.2305-7068.2018.01.003
    [11] SONG Ang, LIANG Yue-ming, LI Qiang, 2018: Influence of precipitation on bacterial structure in a typical karst spring, SW China, Journal of Groundwater Science and Engineering, 6, 193-204.  doi: 10.19637/j.cnki.2305-7068.2018.03.005
    [12] GUO Si-jia, GUO Gui-ping, 2018: Enhancement of gaseous mercury (Hg0) adsorption for the modified activated carbons by surface acid oxygen function groups, Journal of Groundwater Science and Engineering, 6, 104-114.  doi: 10.19637/j.cnki.2305-7068.2018.02.004
    [13] GUO Jin-xing, GRAEBER Peter-Wolfgang, 2018: Landslide forecasting based on hydrological process simulation for a dump slope in an open mining pit, Journal of Groundwater Science and Engineering, 6, 92-103.  doi: 10.19637/j.cnki.2305-7068.2018.02.003
    [14] SONG Chao, HAN Gui-lin, WANG Pan, SHI Ying-chun, HE Ze, 2017: Hydrochemical and isotope characteristics of spring water discharging from Qiushe Loess Section in Lingtai, northwestern China and their implication to groundwater recharge, Journal of Groundwater Science and Engineering, 5, 364-373.
    [15] MENG Rui-fang, YANG Hui-feng, LIU Chun-lei, 2016: Evaluation of water resources carrying capacity of Gonghe basin based on fuzzy comprehensive evaluation method, Journal of Groundwater Science and Engineering, 4, 213-219.
    [16] GUO Jiao, SHI Ying-chun, WU Li-jie, 2015: Gravity erosion and lithology in Pisha sandstone in southern Inner Mongolia, Journal of Groundwater Science and Engineering, 3, 45-58.
    [17] SHI Jian-sheng, LIU Chang-li, DONG Hua, YAN Zhen-peng, WANG Yan-jun, LIU Xin-hao, GUO Xiu-yan, JIAO Hong-jun, YIN Mi-ying, HOU Huai-ren, 2014: Stability assessment and risk analysis of aboveground river in lower Yellow River, Journal of Groundwater Science and Engineering, 2, 1-18.
    [18] Cheng Yanpei, Ma Renhui, 2013: Analysis of Water Resource Demands: Based on the Hydrological Unit, Journal of Groundwater Science and Engineering, 1, 48-59.
    [19] Li Manzhou, Pang Zhenlei, 2013: Water Resources Issues and Control Policy Recommendations in the Process of “Industrialization, Urbanization and Agricultural Modernization” in Henan Province, Journal of Groundwater Science and Engineering, 1, 32-40.
    [20] Yan Zhang, Shuai Song, Jing Li, Fadong Li, Guangshuai Zhao, Qiang Liu, 2013: Stable Isotope Composition of Rainfall, Surface Water and Groundwater along the Yellow River, Journal of Groundwater Science and Engineering, 1, 82-88.
  • 加载中

Catalog

    Figures(27)  / Tables(3)

    Article Metrics

    Article views (1131) PDF downloads(5) Cited by()
    Proportional views
    Related

    /

    DownLoad:  Full-Size Img  PowerPoint
    Return
    Return